ÌâÄ¿ÄÚÈÝ
ÎÐÁ÷ÖÆ¶¯ÊÇ´ÅÐü¸¡ÁгµÔÚ¸ßËÙÔËÐÐʱ½øÐÐÖÆ¶¯µÄÒ»ÖÖ·½Ê½£¬Ä³Ñо¿ËùÓÃÖÆ³ÉµÄ³µºÍ¹ìµÀÄ£ÐÍÀ´¶¨Á¿Ä£Äâ´ÅÐü¸¡ÁгµµÄÎÐÁ÷ÖÆ¶¯¹ý³Ì£®ÈçͼËùʾ£¬Ä£ÐͳµµÄ³µÏá϶˰²×°Óеç´ÅÌúϵͳ£¬µç´ÅÌúϵͳÄÜÔÚÆäÏ·½µÄˮƽ¹ìµÀ£¨¼ä¾àΪL1£©Öеij¤ÎªL1¡¢¿íΪL2µÄ¾ØÐÎÇøÓòÄÚ²úÉúÔÈÇ¿´Å³¡£¬¸Ã´Å³¡µÄ´Å¸ÐӦǿ¶È´óСΪB¡¢·½ÏòÊúÖ±ÏòÏ£®½«³¤´óÓÚL1¡¢¿íΪL2µÄµ¥ÔѾØÐÎÏßȦµÈ¼ä¸ôÆÌÉèÔÚ¹ìµÀÕýÖÐÑ룬Æä¼ä¸ôҲΪL2£®Ã¿¸öÏßȦµÄµç×èΪR£¬µ¼Ïß´ÖϸºöÂÔ²»¼Æ£®ÔÚij´ÎʵÑéÖУ¬Æô¶¯µç´Åϵͳ¿ªÊ¼Öƶ¯ºó£¬µç´ÅÌúϵͳ¸ÕºÃÍêÕû»¬¹ýÁËn¸öÏßȦ£®ÒÑ֪ģÐͳµµÄ×ÜÖÊÁ¿Îªm£¬¿ÕÆø×èÁ¦²»¼Æ£®Ç󣺣¨1£©ÔÚµç´ÅÌúϵͳµÄ´Å³¡È«²¿½øÈëÈÎÒâÒ»¸öÏßȦµÄ¹ý³ÌÖУ¬Í¨¹ýÏßȦµÄµçºÉÁ¿q£»
£¨2£©ÔÚɲ³µ¹ý³ÌÖУ¬ÏßȦËù²úÉúµÄ×ܵçÈÈQ£»
£¨3£©µç´ÅÌúϵͳ¸Õ½øÈëµÚk£¨k£¼n£©¸öÏßȦʱ£¬ÏßȦÖеĵ繦ÂÊP£®
¡¾´ð°¸¡¿·ÖÎö£º£¨1£©¸ù¾Ý·¨ÀµÚµç´Å¸ÐÓ¦¶¨Âɺͱպϵç·ŷķ¶¨ÂÉÇó³öƽ¾ùµçÁ÷µÄ´óС£¬¸ù¾Ýq=ItÇó³öͨ¹ýµÄµçÁ¿£®
£¨2£©¸ù¾ÝÅ£¶ÙµÚ¶þ¶¨ÂÉ¡¢°²ÅàÁ¦¹«Ê½¡¢Çиî²úÉúµÄ¸ÐÓ¦µç¶¯Êƹ«Ê½ºÍ±ÕºÏµç·ŷķ¶¨ÂÉ£¬²ÉÓÃ΢·ÖµÄ·½·¨Çó³ö³õËٶȵĴóС£¬ÔÙ¸ù¾ÝÄÜÁ¿Êغ㶨ÂÉÇó³öÏßȦËù²úÉúµÄ×ܵçÈÈ£®
£¨3£©¸ù¾Ý΢·Ö·¨Çó³öµÄËٶȱ仯Á¿£¬µÃ³öµç´ÅÌúϵͳ¸Õ½øÈëµÚk£¨k£¼n£©¸öÏßȦʱËٶȵı仯Á¿£¬´Ó¶øÇó³ö´ËʱµÄËÙ¶È´óС£¬´Ó¶ø¸ù¾ÝP=
Çó³öÏßȦÖеĵ繦ÂÊ
½â´ð£º½â£º£¨1£©ÔÚµç´Åϵͳ»¬½øÏß¿òÉÏ·½¡÷tµÄ¹ý³ÌÖУ¬Ïß¿òÖвúÉúµÄƽ¾ù¸ÐÓ¦µç¶¯ÊÆ

ƽ¾ùµçÁ÷
Ïß¿òµÄµçºÉÁ¿
£®
£¨2£©µç´ÅϵͳÔÚÏß¿òÉÏ·½ÈÎһʱ¿ÌÒÔËÙ¶ÈvÔ˶¯Ê±£¬¾ùÓÐÒ»¸öL1±ßÔڴų¡ÖÐÇиî´Å¸ÐÏßÔ˶¯£¬µç´ÅÌú»áÊܵ½Ïß¿ò×÷ÓõÄ×èÁ¦£¬´óСµÈÓÚÏß¿òËùÊܵݲÅàÁ¦£®
F=BIL1£¬
£¬F=
´ÅÌúϵͳ¼õËÙÔ˶¯Ê±µÄ˲ʱ¼ÓËÙ¶È
£®
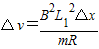
¾¹ý¼«¶ÌµÄʱ¼ä¡÷t£¬ËٶȼõС¡÷v£¬Ô˶¯µÄÎ»ÒÆ¡÷x
£¬
¼´

¼´ÓÐ
£¬ÆäÖÐvΪ¿ªÊ¼É²³µÊ±µÄ³õËÙ¶È
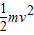
ÓÉÄÜÁ¿Êغ㶨ÂÉÖª£¬Ïß¿òÖвúÉúµÄ×ÜÈÈÁ¿Q=
´úÈëµÃ£¬Q=
£®
£¨3£©µç´ÅÌú¸Õ´©³öµÚ£¨k-1£©¸ö´Å³¡ÇøÓòʱ£¬ËÙ¶ÈΪvk-1£¬

µÃ
ÏßȦµÄµç¹¦ÂÊP=
ÔòP=
£®
´ð£º£¨1£©ÔÚµç´ÅÌúϵͳµÄ´Å³¡È«²¿½øÈëÈÎÒâÒ»¸öÏßȦµÄ¹ý³ÌÖУ¬Í¨¹ýÏßȦµÄµçºÉÁ¿Îª
£®
£¨2£©ÔÚɲ³µ¹ý³ÌÖУ¬ÏßȦËù²úÉúµÄ×ܵçÈÈΪ
£®
£¨3£©ÏßȦÖеĵ繦ÂÊ
£®
µãÆÀ£º±¾ÌâÎïÀíÇé¾³ºÜУ¬µ«ÈÔÊdz£¹æÎïÀíÄ£ÐÍ£¬ÀàËÆÓڴų¡²»¶¯ÏßȦÔÚ¶¯µÄÌâÐÍ£®£¨2£©£¨3£©ÎʶÔѧÉúµÄÄÜÁ¦ÒªÇó½Ï¸ß£¬Ðè²ÉÓÃ΢·ÖµÄ˼Ïë½øÐнâ¾ö£®
£¨2£©¸ù¾ÝÅ£¶ÙµÚ¶þ¶¨ÂÉ¡¢°²ÅàÁ¦¹«Ê½¡¢Çиî²úÉúµÄ¸ÐÓ¦µç¶¯Êƹ«Ê½ºÍ±ÕºÏµç·ŷķ¶¨ÂÉ£¬²ÉÓÃ΢·ÖµÄ·½·¨Çó³ö³õËٶȵĴóС£¬ÔÙ¸ù¾ÝÄÜÁ¿Êغ㶨ÂÉÇó³öÏßȦËù²úÉúµÄ×ܵçÈÈ£®
£¨3£©¸ù¾Ý΢·Ö·¨Çó³öµÄËٶȱ仯Á¿£¬µÃ³öµç´ÅÌúϵͳ¸Õ½øÈëµÚk£¨k£¼n£©¸öÏßȦʱËٶȵı仯Á¿£¬´Ó¶øÇó³ö´ËʱµÄËÙ¶È´óС£¬´Ó¶ø¸ù¾ÝP=
½â´ð£º½â£º£¨1£©ÔÚµç´Åϵͳ»¬½øÏß¿òÉÏ·½¡÷tµÄ¹ý³ÌÖУ¬Ïß¿òÖвúÉúµÄƽ¾ù¸ÐÓ¦µç¶¯ÊÆ
ƽ¾ùµçÁ÷
Ïß¿òµÄµçºÉÁ¿
£¨2£©µç´ÅϵͳÔÚÏß¿òÉÏ·½ÈÎһʱ¿ÌÒÔËÙ¶ÈvÔ˶¯Ê±£¬¾ùÓÐÒ»¸öL1±ßÔڴų¡ÖÐÇиî´Å¸ÐÏßÔ˶¯£¬µç´ÅÌú»áÊܵ½Ïß¿ò×÷ÓõÄ×èÁ¦£¬´óСµÈÓÚÏß¿òËùÊܵݲÅàÁ¦£®
F=BIL1£¬
´ÅÌúϵͳ¼õËÙÔ˶¯Ê±µÄ˲ʱ¼ÓËÙ¶È
¾¹ý¼«¶ÌµÄʱ¼ä¡÷t£¬ËٶȼõС¡÷v£¬Ô˶¯µÄÎ»ÒÆ¡÷x
¼´
¼´ÓÐ
ÓÉÄÜÁ¿Êغ㶨ÂÉÖª£¬Ïß¿òÖвúÉúµÄ×ÜÈÈÁ¿Q=
´úÈëµÃ£¬Q=
£¨3£©µç´ÅÌú¸Õ´©³öµÚ£¨k-1£©¸ö´Å³¡ÇøÓòʱ£¬ËÙ¶ÈΪvk-1£¬
µÃ
ÏßȦµÄµç¹¦ÂÊP=
ÔòP=
´ð£º£¨1£©ÔÚµç´ÅÌúϵͳµÄ´Å³¡È«²¿½øÈëÈÎÒâÒ»¸öÏßȦµÄ¹ý³ÌÖУ¬Í¨¹ýÏßȦµÄµçºÉÁ¿Îª
£¨2£©ÔÚɲ³µ¹ý³ÌÖУ¬ÏßȦËù²úÉúµÄ×ܵçÈÈΪ
£¨3£©ÏßȦÖеĵ繦ÂÊ
µãÆÀ£º±¾ÌâÎïÀíÇé¾³ºÜУ¬µ«ÈÔÊdz£¹æÎïÀíÄ£ÐÍ£¬ÀàËÆÓڴų¡²»¶¯ÏßȦÔÚ¶¯µÄÌâÐÍ£®£¨2£©£¨3£©ÎʶÔѧÉúµÄÄÜÁ¦ÒªÇó½Ï¸ß£¬Ðè²ÉÓÃ΢·ÖµÄ˼Ïë½øÐнâ¾ö£®
Á·Ï°²áϵÁдð°¸
Ïà¹ØÌâÄ¿