题目内容
三颗人造地球卫星A、B、C绕地球作匀速圆周运动,如图2所示,已知MA=MB<MC,则对于三个卫星,正确的是( )A.运行线速度关系为VA>VB=VC
B.运行周期关系为TA<TB=TC
C.向心力大小关系为FA=FB<FC
D.半径与周期关系为
【答案】分析:根据人造卫星的万有引力等于向心力,列式求出线速度、角速度、周期和向心力的表达式进行讨论即可.
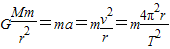
解答:解:人造卫星绕地球做匀速圆周运动,根据万有引力提供向心力,设卫星的质量为m、轨道半径为r、地球质量为M,有
F=F向
所以F=
解得:
v=
①
a=
②
T=
③
根据题意
ra<rb=rc ④
由①④式可知,vA>vB=vC,故A正确;
由①④式可知,TA<TB=TC,故B正确;
由④及mA=mB>mC和F=
可知FA>FB,FB>FC,故FA>FB>FC故C错误;
由开普勒第三定律可知:绕同一个中心天体运动的半径的三次方与周期的平方之比是一个定值,所以
=
=
,故D错误.
故选AB.
点评:本题关键抓住万有引力提供向心力,先列式求解出线速度、角速度、周期和加速度的表达式,再进行讨论.
解答:解:人造卫星绕地球做匀速圆周运动,根据万有引力提供向心力,设卫星的质量为m、轨道半径为r、地球质量为M,有
F=F向
所以F=
解得:
v=
a=
T=
根据题意
ra<rb=rc ④
由①④式可知,vA>vB=vC,故A正确;
由①④式可知,TA<TB=TC,故B正确;
由④及mA=mB>mC和F=
由开普勒第三定律可知:绕同一个中心天体运动的半径的三次方与周期的平方之比是一个定值,所以
故选AB.
点评:本题关键抓住万有引力提供向心力,先列式求解出线速度、角速度、周期和加速度的表达式,再进行讨论.
练习册系列答案
相关题目