题目内容

(15分)一辆值勤的警车停在公路边,当警员发现从他旁边以10m/s的速度匀速行驶的货车严重超载时,决定前去追赶,经过5.5s后警车发动起来,并以2.5m/s2的加速度做匀加速运动,但警车的行驶速度必须控制在90km/h以内。问:

(1)警车在追赶货车的过程中,两车间的最大距离是多少?

(2)警车发动后要多长时间才能追上货车?

 

【答案】

(1)75m (2)12s。

【解析】

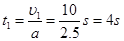
试题分析:(1)当两车速度相等时,它们的距离最大,设警车发动后经过时间两车的速度相等。则:

。所以两车间的最大距离

(2)警车刚到达最大速度90km/h=25m/s的时间:=10s。

时刻两车距离30m。

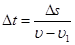
警车达到最大速度后做匀速运动,设再经过时间追赶上货车。

则:=2s。所以警车发动后要经过时间追上货车:=12s。

考点:匀变速直线运动规律的综合运用

 

练习册系列答案
相关题目

违法和不良信息举报电话:027-86699610 举报邮箱:58377363@163.com

精英家教网