题目内容
在“测定匀变速直线运动的加速度”的实验中,用打点计时器记录纸带运动的时间,计时器所用电源的频率为50Hz,如图所示是一次实验得到的一条纸带,纸带上每相邻的两计数点间都有四个点未画出,按时间顺序取0、1、2、3、4、5、6七个计数点,用刻度尺量出1、2、3、4、5、6点到0点的距离分别为1.40cm、3.55cm、6.45cm、10.15cm、14.55cm、19.70cm.由纸带数据计算可得计数点4所代表时刻的瞬时速度大小为v4= m/s,小车的加速度大小a= m/s2.(结果保留三位有效数字)
【答案】分析:3、5这段位移内的平均速度等于计数点4位置的瞬时速度,根据△x=aT2求出小车的加速度.
解答:解:根据平均速度代替瞬时速度得:v4=
=
m/s=0.405m/s
由题意得两个相邻计数点间的距离为:x1′=0.0140 m,x2′=x2-x1=0.0215 m,x3′=x3-x2=0.0290 m,x4′=x4-x3=0.0370 m
x5′=x5-x4=0.0440 m,x6′=x6-x5=0.0515 m
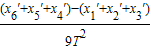
采用逐差法得:a=
=
=m/s2=0.756 m/s2.
故答案为:0.405;0.756
点评:解决本题的关键知道某段时间内的平均速度等于中间时刻的瞬时速度,会用逐差法根据△x=aT2求加速度.
解答:解:根据平均速度代替瞬时速度得:v4=
由题意得两个相邻计数点间的距离为:x1′=0.0140 m,x2′=x2-x1=0.0215 m,x3′=x3-x2=0.0290 m,x4′=x4-x3=0.0370 m
x5′=x5-x4=0.0440 m,x6′=x6-x5=0.0515 m
采用逐差法得:a=
故答案为:0.405;0.756
点评:解决本题的关键知道某段时间内的平均速度等于中间时刻的瞬时速度,会用逐差法根据△x=aT2求加速度.
练习册系列答案
相关题目