题目内容

双星系统由两颗恒星组成,两恒星在相互引力的作用下分别围绕其连线上的某一点做周期相同的匀速圆周运动。研究发现,双星系统演化过程中两星的总质量、距离和周期均可能发生变化。若某双星系统中两星做圆周运动的周期为T,经过一段时间演化后,两星总质量变为原的k倍,两星之间的距离变为原的n倍,则此时圆周运动的周期为  (   )

A.         B.          C.      D.

 

【答案】

B

【解析】

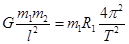
试题分析:设m1的轨道半径为R1,m2的轨道半径为R2.由于它们之间的距离恒定,因此双星在空间的绕向一定相同,同时角速度和周期也都相同.由向心力公式可得:

对m1      ①

对m2      ②

 又因为 , 由①②式可得 

所以当两星总质量变为KM,两星之间的距离变为原来的n倍,圆周运动的周期,即 T,故ACD错误,B正确;

考点:万有引力定律及其应用。

 

练习册系列答案
相关题目

违法和不良信息举报电话:027-86699610 举报邮箱:58377363@163.com

精英家教网