题目内容
【答案】分析:通过假设法,根据C点合场强的方向判断出A电荷的电性,根据点电荷的场强公式,通过距离点电荷的距离,求出电荷量之比.
解答:解:若A、B都为正电荷,都为负电荷,或A为正电荷,B为负电荷,C点合场强的方向不可能与AB平行.所以A为负电荷、B为正电荷,根据平行四边形定则,知A、B在C点的场强之比为
.
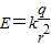
又点电荷的场强公式为
,C点距离A、B两点间的距离比
,可知
.
故答案为:负电,1:8.
点评:解决本题的关键掌握点电荷场强的公式,以及知道场强的叠加遵循平行四边形定则.
解答:解:若A、B都为正电荷,都为负电荷,或A为正电荷,B为负电荷,C点合场强的方向不可能与AB平行.所以A为负电荷、B为正电荷,根据平行四边形定则,知A、B在C点的场强之比为
又点电荷的场强公式为
故答案为:负电,1:8.
点评:解决本题的关键掌握点电荷场强的公式,以及知道场强的叠加遵循平行四边形定则.
练习册系列答案
相关题目