题目内容
如图所示,水平传送带AB长L(足够长),以v的速度向右匀速运动(传送带的传送速度恒定),质量为m的小木块无初速度放在传送带的最左端A点,小木块经过t1后与传送带速度大小相等.求:(1)小木块与传送带间的动摩擦因数μ是多大?
(2)小木块在传送带上从A点运动到B点的时间T是多少?
【答案】分析:(1)小木块所受合力等于摩擦力,根据牛顿第二定律,同时结合速度时间公式可求出加速度.
(2)小木块在皮带上先加速,后匀速,根据运动学公式,可求出运动的总时间.
解答:解:(1)小木块刚放上皮带时,速度小于皮带的传送速度,即相对皮带向后运动,受到向前的摩擦力,重力与支持力平衡,故合力等于摩擦力;
f=μFN,FN=mg=μmg
根据牛顿第二定律得,
;
又因为
;
所以
;
故小木块与传送带间的动摩擦因数为
.
(2)小木块在传送带上先作匀加速直线运动,后作匀速直线运动;
匀加速位移,
;
匀速位移,x2=L-x1;
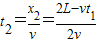
匀速时间,
;
总时间,T=t1+t2=
;
故小木块在传送带上从A点运动到B点的时间T是
.
点评:对于传送带问题,通常运动分两个过程,要对这两个过程分别进行运动分析和受力分析,然后结合牛顿第二定律和运动学公式求解!
(2)小木块在皮带上先加速,后匀速,根据运动学公式,可求出运动的总时间.
解答:解:(1)小木块刚放上皮带时,速度小于皮带的传送速度,即相对皮带向后运动,受到向前的摩擦力,重力与支持力平衡,故合力等于摩擦力;
f=μFN,FN=mg=μmg
根据牛顿第二定律得,
又因为
所以
故小木块与传送带间的动摩擦因数为
(2)小木块在传送带上先作匀加速直线运动,后作匀速直线运动;
匀加速位移,
匀速位移,x2=L-x1;
匀速时间,
总时间,T=t1+t2=
故小木块在传送带上从A点运动到B点的时间T是
点评:对于传送带问题,通常运动分两个过程,要对这两个过程分别进行运动分析和受力分析,然后结合牛顿第二定律和运动学公式求解!
练习册系列答案
相关题目
A、摩擦力对物体做功为
| ||
| B、摩擦力对物体做功为μmgs | ||
| C、传送带克服摩擦力做功为μmgs | ||
| D、因摩擦而生的热能为2μmgs |