题目内容
如图所示,q1,q2,q3,分别表示在一条直线上的三个点电荷,已知q1与q2之间的距离为l1,已知q2与q3之间的距离为l2,且每个电荷都处于平衡状态(1)如q2为负电荷,则q1为 电荷,q3为 电荷.
(2)q1,q2,q3三者电量大小之比是 : : .
【答案】分析:(1)解决本题一定要把握“每个电荷都处于平衡状态”这一特点进行分析,已知q2为负电荷,可以利用假设法判断q1和q3的电性,如假设q1带正电,其它电荷是否平衡等,也可以利用“两同夹异,近小远大”(三个电荷处于平衡时两边电性相同和中间相反,中间电荷离电量小的近,离电量大的远)进行判断.
(2)三个电荷处于同一直线上,每个电荷受两个库仑力作用处于平衡状态,据此列方程即可求解.
解答:解:(1)假设q1带负电,要使q2平衡则q3也应带负电,但此时q1、q3因都受斥力而不平衡,故q1带正电,同理分析q3带正电.
(2)由于三个电荷均处于平衡状态,所以
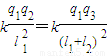
对q1有:
①
对q2有:
②
对q3有:
③
联立①②③可解得:
答:(1)正,正
(2)q1,q2,q3三者电量大小之比是:
点评:本题考察了库仑定律在电荷平衡中的应用,对于三个电荷平衡可以利用“两同夹异,近小远大”的规律进行电性判断,本题的难点在于计算,学生列出方程容易,但是计算正确难.
(2)三个电荷处于同一直线上,每个电荷受两个库仑力作用处于平衡状态,据此列方程即可求解.
解答:解:(1)假设q1带负电,要使q2平衡则q3也应带负电,但此时q1、q3因都受斥力而不平衡,故q1带正电,同理分析q3带正电.
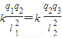
(2)由于三个电荷均处于平衡状态,所以
对q1有:
对q2有:
对q3有:
联立①②③可解得:
答:(1)正,正
(2)q1,q2,q3三者电量大小之比是:
点评:本题考察了库仑定律在电荷平衡中的应用,对于三个电荷平衡可以利用“两同夹异,近小远大”的规律进行电性判断,本题的难点在于计算,学生列出方程容易,但是计算正确难.
练习册系列答案
相关题目
| A、O点电势一定高于N点电势 | B、O点场强一定小于M点场强 | C、将一个负点电荷从M点移到N点,需克服电场力做功 | D、若将一个正点电荷分别放在M、N和O三点,则该点电荷在O点时电势能最大 |
| A、不断增大 | B、不断减小 | C、先减小后增大 | D、先增大后减小 |
| A、EA>EB,φA>φB | B、EA>EB,φA<φB | C、EA>EB,φA=φB | D、EA<EB,φA<φB |