题目内容
在研究匀变速直线运动的实验中,电磁式打点计时器应接在低压 (填“直流”或“交流”)电源上,每隔 s打一次点.图所示是某次实验所得的纸带,舍去前面比较密集的点,从O点开始,每5个连续点取1个计数点,标以1、2、3、…,那么相邻两个计数点之间的时间为 s,各计数点与O点之间的距离依次为s1=3.00cm,s2=7.50cm,s3=13.50cm,则小车通过1计数点时的速度v1= m/s,通过2计数点时的速度v2= m/s2,物体的加速度a= m/s2.
【答案】分析:根据匀变速直线运动的推论公式△x=aT2可以求出加速度的大小,根据匀变速直线运动中中间时刻的速度等于该过程中的平均速度,可以求出打纸带上A点时小车的瞬时速度大小.
解答:解:(1)电磁式打点计时器应接在低压 交流电源上,每隔0.02s打一次点.
(2)为每5个连续点取1个计数点,所以相邻两个计数点之间的时间为0.1s
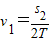
(3)根据匀变速直线运动中中间时刻的速度等于该过程中的平均速度
所以:
=0.375m/s
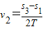
(4)
=0.525m/s
(5)求解式△x=aT2可以求加速度舍掉第一段位移,因为其位移下,测量的相对误差较大.
所以用后两段求解加速度,推论公式△x=aT2
可以求出加速度:a=1.5m/s2
故答案为:交流;0.02;0.1;0.375;0.525;1.5
点评:利用匀变速直线的规律以及推论解答实验问题的能力,在平时练习中要加强基础知识的理解与应用,提高解决问题能力.
解答:解:(1)电磁式打点计时器应接在低压 交流电源上,每隔0.02s打一次点.
(2)为每5个连续点取1个计数点,所以相邻两个计数点之间的时间为0.1s
(3)根据匀变速直线运动中中间时刻的速度等于该过程中的平均速度
所以:
(4)
(5)求解式△x=aT2可以求加速度舍掉第一段位移,因为其位移下,测量的相对误差较大.
所以用后两段求解加速度,推论公式△x=aT2
可以求出加速度:a=1.5m/s2
故答案为:交流;0.02;0.1;0.375;0.525;1.5
点评:利用匀变速直线的规律以及推论解答实验问题的能力,在平时练习中要加强基础知识的理解与应用,提高解决问题能力.
练习册系列答案
相关题目