题目内容
我国研制并成功发射的“嫦娥二号”探测卫星,在距月球表面高度为h的轨道上做匀速圆周运动,运行的周期为T.若以R表示月球的半径,则( )A.卫星运行时的向心加速度为
B.物体在月球表面自由下落的加速度为
C.卫星运行时的线速度为
D.月球的第一宇宙速度为
【答案】分析:(1)物体在星球上或在星球附近(不做圆周运动)利用万有引力等于重力求解;如:求解星球表面的加速度.
(2)物体围绕星球做圆周运动,利用万有引力提供向心力求解.如:求解向心加速度,线速度,角速度,周期,第一宇宙速度等.
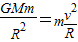
解答:解:A:由:
得:
,故A正确.
B:由:
得:GM=
①,其中:M为月球的质量.
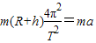
又:
得:
将①代入得:
,故B错误.
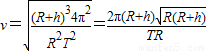
C:由:
,故C正确.
D:由:
得:v=
,将①代入得:
,故D正确.
故选:ACD
点评:万有引力与航天类的题目把握两点:(1)物体在星球上或在星球附近(不做圆周运动)利用万有引力等于重力求解;(2)物体围绕星球做圆周运动,利用万有引力提供向心力求解.
(2)物体围绕星球做圆周运动,利用万有引力提供向心力求解.如:求解向心加速度,线速度,角速度,周期,第一宇宙速度等.
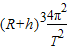
解答:解:A:由:
B:由:
又:
C:由:
D:由:
故选:ACD
点评:万有引力与航天类的题目把握两点:(1)物体在星球上或在星球附近(不做圆周运动)利用万有引力等于重力求解;(2)物体围绕星球做圆周运动,利用万有引力提供向心力求解.
练习册系列答案
相关题目
我国研制并成功发射的“嫦娥二号”探测卫星,在距月球表面高度为h的轨道上做匀速圆周运动,运行的周期为T.若以R表示月球的半径,则( )
A、卫星运行时的线速度为
| ||||
B、卫星运行时的向心加速度为
| ||||
C、月球的第一宇宙速度为
| ||||
D、物体在月球表面自由下落的加速度为
|