题目内容
有一电子经电压U1加速后,进入两块间距为d,电压为U2的平行金属板间,若电子从两板正中间垂直电场方向射入,且正好能打在B板的正中点,设电子的电荷量为e,质量为m,求:(1)电子刚进入平行金属板时的初速度v;
(2)电子的偏转时间t.
(3)平行金属板的长度L.
【答案】分析:(1)电子在加速电场中,电场力做正功qU1,根据动能定理求解v;
(2)由题:电子从两板正中间垂直电场方向射入,且正好能打在B板的正中点,得知:y=
,根据牛顿第二定律求出加速度,再位移公式求出时间.
(3)由题x=
,则由L=2x=2vt求解.
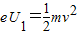
解答:解:(1)由动能定理有
得
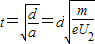
(2)沿电场方向:电场力 F=eE
又
∴
(3)沿v方向做匀速直线运动,有
故L=2vt=2
×
=
答:(1)电子刚进入平行金属板时的初速度
;
(2)电子的偏转时间t=d
.
(3)平行金属板的长度L=
.
点评:本题是分析和处理带电粒子在组合场中运动的问题,关键是分析运动情况和选择解题规律.比较容易.
(2)由题:电子从两板正中间垂直电场方向射入,且正好能打在B板的正中点,得知:y=
(3)由题x=
解答:解:(1)由动能定理有
得
(2)沿电场方向:电场力 F=eE
又
(3)沿v方向做匀速直线运动,有
故L=2vt=2
答:(1)电子刚进入平行金属板时的初速度
(2)电子的偏转时间t=d
(3)平行金属板的长度L=
点评:本题是分析和处理带电粒子在组合场中运动的问题,关键是分析运动情况和选择解题规律.比较容易.
练习册系列答案
相关题目
- QQ空间
- 新浪微博
- 百度搜藏
- 人人网
- 腾讯微博
- 开心网
- 腾讯朋友
- 百度空间
- 豆瓣网
- 搜狐微博
- MSN
- QQ收藏
- 我的淘宝
- 百度贴吧
- 搜狐白社会
- 更多...
百度分享
一个有一定厚度的圆盘,可以绕通过中心垂直于盘面的水平轴转动,用下面的方法测量它匀速转动时的角速度。
实验器材:电磁打点计时器、米尺、纸带、复写纸片。
实验步骤:
(1)如图1所示,将电磁打点计时器固定在桌面上,将纸带的一端穿过打点计时器的限位孔后,固定在待测圆盘的侧面上,使得圆盘转动时,纸带可以卷在圆盘侧面上。
(2)启动控制装置使圆盘转动,同时接通电源,打点计时器开始打点。
(3)经过一段时间,停止转动和打点,取下纸带,进行测量。
① 由已知量和测得量表示的角速度的表达式为ω= 。式中各量的意义是:
.
② 某次实验测得圆盘半径r=5.50×10-2m,得到纸带的一段如图2所示,求得角速度为 。
(1) (2)6.8/s。 |