题目内容

有一炮竖直向上发射炮弹,炮弹的质量为M=6.0 kg(内含炸药的质量可以忽略不计),射出的初速度v0=60 m/s.当炮弹到达最高点时爆炸为沿水平方向运动的两片,其中一片质量为m=4.0 kg.现要求这一片不能落到以发射点为圆心、以R=600 m为半径的圆周范围内,则刚爆炸完时两弹片的总动能至少多大?(g=10/s2,忽略空气阻力)

答案:
解析:

  解:设炮弹止升到达最高点的高度为H,根据匀变速直线运动规律,有

   2分(H=180 m)

  设质量为m的弹片刚爆炸后的速度为,另一块的速度为,根据动量守恒定律,有

   3分

  设质量为的弹片运动的时间为,根据平抛运动规律,有

   2分

   2分[t=6 s,=100 m/s,=200 m/s]

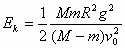
  炮弹刚爆炸后,两弹片的总动能

   3分

  解以上各式得 2分

  代入数值得 2分


练习册系列答案
相关题目

违法和不良信息举报电话:027-86699610 举报邮箱:58377363@163.com

精英家教网