题目内容
在“单摆测重力加速度”的实验中,如果摆球质量不均匀,按照正常的方法进行实验,会给测量结果造成误差.一个同学设计了一个巧妙的方法,可以避免上述误差,实验分两次进行,第一次测得悬线长为L1,测得振动周期为T1;第二次只改变悬线长为L2,并测得此时单摆的振动周期为T2,根据测量数据导出重力加速度的表达式为 .
【答案】分析:单摆的摆长应是悬点到摆球重心的距离,可假设摆线的结点到摆球重心距离为r,根据单摆的周期公式列式求出重力加速度的表达式.
解答:解:设摆线的结点到摆球重心距离为r,则
T1=2
,T2=2
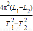
联立两式解得,g=
故答案为:g=
点评:解决本题关键要抓住单摆的摆长与摆线长度之间的关系,运用单摆的周期公式进行解答.
解答:解:设摆线的结点到摆球重心距离为r,则
T1=2
联立两式解得,g=
故答案为:g=
点评:解决本题关键要抓住单摆的摆长与摆线长度之间的关系,运用单摆的周期公式进行解答.
练习册系列答案
相关题目