题目内容
一物体做匀加速直线运动,在某时刻前的t1时间内位移大小为s1,在该时刻后的t2时间内位移大小为s2,则物体的加速度大小为( )A.
B.
C.
D.
【答案】分析:以题中的“某时刻”为零时刻,根据位移时间公式表示出该时刻后的t2时间内位s2;然后假设时间倒流,再次表示出某时刻前的t1时间内位移大小为s1;最后联立方程组求解出加速度大小.
解答:解:以题中的“某时刻”为零时刻,根据位移时间公式,该时刻后的t2时间内位为:
①
假设时间倒流,该时刻前t1时间内做匀减速直线运动,故其位移为:
②
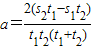
联立①②两式,解得

故选A.
点评:对于匀变速直线运动,有初速度、末速度、加速度、位移、时间5个物理量,可以以其中的任意4个量组成一个公式,目前教材推出4个,缺少初速度的公式虽然没有给出,但可以运用”逆向思维法”由位移时间关系公式得出.
解答:解:以题中的“某时刻”为零时刻,根据位移时间公式,该时刻后的t2时间内位为:
假设时间倒流,该时刻前t1时间内做匀减速直线运动,故其位移为:
联立①②两式,解得
故选A.
点评:对于匀变速直线运动,有初速度、末速度、加速度、位移、时间5个物理量,可以以其中的任意4个量组成一个公式,目前教材推出4个,缺少初速度的公式虽然没有给出,但可以运用”逆向思维法”由位移时间关系公式得出.
练习册系列答案
相关题目