题目内容

如图所示,金属棒a从高为h处由静止沿光滑的弧形导轨下滑进入光滑导轨的水平部分,导轨的水平部分处于竖直向下的匀强磁场中.在水平部分原先静止有另一根金属棒b,已知ma=2m,mb=m,整个水平导轨足够长,并处于广阔的匀强磁场中,假设金属棒a始终没跟金属棒b相碰,重力加速度为g.求:

(1)金属棒a刚进入水平导轨时的速度;

(2)两棒的最终速度;

(3)在上述整个过程中两根金属棒和导轨所组成的回路中消耗的电能.

答案:
解析:

  解:(1)设金属棒,由机械能守恒定律得:

  

  

  (2)设两金属棒的最终速度为v,由动量守恒定律得:

  

  

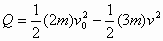
  (3)由能量守恒定律得:

  

  


练习册系列答案
相关题目

违法和不良信息举报电话:027-86699610 举报邮箱:58377363@163.com

精英家教网