题目内容

如图所示,a、b和c表示电场中的三个等势面,a和c的电势分别为U和U,a、b的电势差等于b、c的电势差.一带电粒子从等势面a上某处以速度释放后,仅受电场力作用而运动,经过等势面c时的速率为,则它经过等势面b时的速率为

A.      B.   C.      D.

 

【答案】

 B 

【解析】

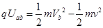
试题分析: 由动能定理可知:带电粒子从a面到b面的过程中:;

带电粒子从a面到c面的过程中:

解得,所以B对。

考点: 动能定理,电场力做功特点。

 

练习册系列答案
相关题目

违法和不良信息举报电话:027-86699610 举报邮箱:58377363@163.com

精英家教网