题目内容

将一个10-6C的负电荷从电场中A点移到B点,克服电场力做功2×10-6J.从B点移到C点,电场力做功4×10-6J,则UAB=    V,UAC=    V.
【答案】分析:根据公式UAB=求解电势差,再结合WAC=WAB+WBC,求出UAC
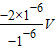
解答:解:UAB===2V
   UAC===V=-2V
故本题答案是2;-2.
点评:本题在应用公式UAB=求解电势差时,各个量均要代入符号,特别要注意克服电场力做功,功是负值.
练习册系列答案
相关题目

违法和不良信息举报电话:027-86699610 举报邮箱:58377363@163.com

精英家教网