题目内容
如图所示,小球a、b的质量分别是2m和m,a从倾角为30°的光滑固定斜面的顶端无初速下滑,b从斜面等高处以初速度v平抛,比较a、b落地的运动过程有( )A.a,b两球同时到达地面
B.a,b落地前的速度相同
C.重力对a、b做的功相同
D.落地前a,b两球重力做功的瞬时功率相等
【答案】分析:根据牛顿第二定律,结合运动学公式求出a、b运动的时间,从而比较大小,根据动能定理比较a、b的速度大小.
解答:解:A、设斜面的高度为h,则在斜面上运动的加速度a=gsin30
,则
,解得
.平抛运动的时间
,知t1>t2.故A错误.
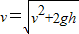
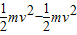
B、根据动能定理得,对a,
,解得v=
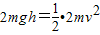
,对b,mgh=
,解得
,知a、b落地的速度不等.故B错误.
C、两物体质量不同,下降的高度相同,则重力做功不同.故C错误.
D、对于a,重力做功的瞬时功率
,对于b,竖直方向上的分速度
,则重力做功的瞬时功率
.知重力做功的瞬时功率相等.故D正确.
故选D.
点评:解决本题的关键知道平抛运动水平方向和竖直方向上的运动规律,结合牛顿第二定律和运动学公式综合分析.
解答:解:A、设斜面的高度为h,则在斜面上运动的加速度a=gsin30
B、根据动能定理得,对a,
C、两物体质量不同,下降的高度相同,则重力做功不同.故C错误.
D、对于a,重力做功的瞬时功率
故选D.
点评:解决本题的关键知道平抛运动水平方向和竖直方向上的运动规律,结合牛顿第二定律和运动学公式综合分析.
练习册系列答案
相关题目