题目内容
质量为m=2kg的物体静止在水平面上,它们之间的动摩擦系数μ=0.5,现在对物体施加以如图所示的拉力F=10N,与水平方向夹角θ=37°(sin37°=0.6),经t=10s后撤去力F,在经一段时间,物体又静止.求:(1)物体运动过程中最大速度多少?
(2)物体运动的总位移是多少?(g取10m/s2)
【答案】分析:(1)当撤去外力时,速度最大,根据牛顿第二定律求出加速度,再根据匀变速直线运动的速度时间公式求出最大速度.
(2)根据运动学公式求出匀加速直线运动的位移,撤去外力后,根据牛顿第二定律求出加速度,再根据匀变速直线运动的速度位移公式求出匀减速直线运动的位移,两个位移之和为物体运动的总位移.
解答:解:(1)前10s一直做匀加速直线运动.
由:Fcosθ-μ(mg-Fsinθ)=ma
解得:a=0.5m/s2
则vm=at=5m/s
故物体运动过程中最大速度为5m/s.
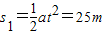
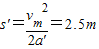
(2)前10s内的位移
匀减速直线运动的加速度
位移
则总位移s总=s1+s′=27.5m
故物体运动的总位移是27.5m.
点评:加速度是联系力学和运动学的桥梁,通过加速度,可以根据力求运动,也可以根据运动求力.
(2)根据运动学公式求出匀加速直线运动的位移,撤去外力后,根据牛顿第二定律求出加速度,再根据匀变速直线运动的速度位移公式求出匀减速直线运动的位移,两个位移之和为物体运动的总位移.
解答:解:(1)前10s一直做匀加速直线运动.
由:Fcosθ-μ(mg-Fsinθ)=ma
解得:a=0.5m/s2
则vm=at=5m/s
故物体运动过程中最大速度为5m/s.
(2)前10s内的位移
匀减速直线运动的加速度
位移
则总位移s总=s1+s′=27.5m
故物体运动的总位移是27.5m.
点评:加速度是联系力学和运动学的桥梁,通过加速度,可以根据力求运动,也可以根据运动求力.
练习册系列答案
相关题目