题目内容

“嫦娥三号”探测器计划于2013年底发射并在月球表面软着陆,目前选择在月球的虹湾地区着陆。作为先导星,“嫦娥二号”的主要任务是成功传回虹湾地区高分辨率图像,保证“嫦娥三号”探测器未来能够安全着陆。设想“嫦娥三号”贴近月球表面做匀速圆周运动,其周期为T。“嫦娥三号”在月球上着陆后,自动机器人用测力计测得质量为m的仪器重力为P。已知引力常量为G,由以上数据可以求出的物理量有(   )

A.月球的半径

B.月球的质量

C.月球表面的重力加速度

D.月球绕地球做匀速圆周运动的向心加速度

 

【答案】

ABC

【解析】

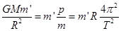
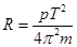
试题分析:“嫦娥三号”贴近月球表面做匀速圆周运动,万有引力提供向心力,即,用测力计测得质量为m的仪器重力为P则有,即,答案C对。把重力加速度带入向心力公式即整理可得答案A对。,而半径R已经求出,所以月球质量也可以求出。月球绕地球做匀速圆周运动的向心加速度,地球质量不知道,地月距离也不知道,所以月球绕地球做匀速圆周运动的向心加速度无法求出答案D错。

考点:万有引力与航天

 

练习册系列答案
相关题目

违法和不良信息举报电话:027-86699610 举报邮箱:58377363@163.com

精英家教网