题目内容

分别用3.3kV和110kV的电压输电,输送的电功率相同,导线的材料和送电的距离也都相同,并且要求损失的功率相等.求所用导线的横截面积之比.若用110 kV电压输电时导线横截面积为,则用3.3kV电压输电的导线横截面积为多大?

答案:略
解析:

答案:

解析 设输送的电功率为P,输电压为U,送电距离为l,导线的横截面积为S,电阻率为ρ.

则导线上损失的电功率(r为一根导线的电阻),由于P=UI,所以

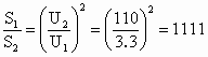
现在P、ρ、l相同,且要求ΔP相等,则

所以

即用3.3kV电压输电是110kV电压输电导线横截面积为1111倍.

时,

相当于直径约为7.5cm的导线横截面积,这是一根很粗的金属棒,用这样粗的金属棒输电显然是不合理的,所以远距离输电要用高压电.


练习册系列答案
相关题目

违法和不良信息举报电话:027-86699610 举报邮箱:58377363@163.com

精英家教网