题目内容

 质量为2kg的物体在水平推力F的作用下沿水平面作直线运动,一段时间后撤去F,其运动的图像如图所示。g取10m/s2,求:

(1)物体与水平面间的动摩擦因数

(2)水平推力F的大小;

(3)0-10s内物体运动位移的大小。

 

【答案】

(1)0.2 (2)6N  (3)46m

【解析】

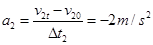
试题分析:(1)设物体做匀减速直线运动的时间为△t2、初速度为v20、末速度为v2t、加速度为a2,则 

设物体所受的摩擦力为Ff,根据牛顿第二定律,有

-μmg =ma2       ②

联立①②得      ③

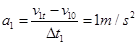
(2)设物体做匀加速直线运动的时间为△t1、初速度为v10、末速度为v1t、加速度为a1,则

   ④

根据牛顿第二定律,有F-μmg =ma1   ⑤

联立③⑥得    F=μmg+ma1=6N     ⑥

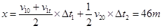
(3)解法一:由匀变速直线运动位移公式,得

 

解法二:根据图象围成的面积,得

考点:匀变速直线运动的规律 速度-时间图象 牛顿第二定律

 

练习册系列答案
相关题目

违法和不良信息举报电话:027-86699610 举报邮箱:58377363@163.com

精英家教网