题目内容

如图甲所示,一竖直平面内的轨道由粗糙斜面AD和光滑圆轨道DCE组成,AD与DCE相切于D点,C为圆轨道的最低点,将一小物块置于轨道ADC上离地面高为H处由静止释放,用力传感器测出其经过C点时对轨道的压力N,改变H的大小,可测出相应的N的大小,N随H的变化关系如图乙折线PQI所示(PQ与QI两直线相连接于Q点),QI反向延长交纵轴于F点(0,5.8N),重力加速度g取10m/s2,求:

(1)求出小物块的质量m;圆轨道的半径R、轨道DC所对应的圆心角θ;
(2)小物块与斜面AD间的动摩擦因数μ。
(3)若要使小物块能运动到圆轨道的最高点E,则小物块应从离地面高为H处由静止释放,H为多少?

(1)m="0.5Kg" R="1m" θ=37°(2)0.3(3)

解析试题分析:(1)如果物块只在圆轨道上运动,则由动能定理得mgH=mv2解得v=
由向心力公式FN-mg=m,得FN=m+mg=H+mg;
结合PQ曲线可知mg=5得m=0.5 kg.
由图象可知=10得R=1 m.显然当H=0.2 m对应图中的D点,
所以cos θ==0.8,θ=37°.
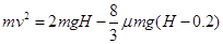
(2)如果物块由斜面上滑下,由动能定理得

解得
由向心力公式FN-mg=m得FN=m+mg=H+μmg+mg
结合QI曲线知μmg+mg=5.8,解得μ=0.3.
(3)如果物块由斜面上滑下到最高点速度为v,
由动能定理得: (1)
设物块恰能到达最高点:由向心力公式(2)
由(1)(2)式可得
考点:动能定理、向心力知识
点评:此类问题综合程度较高,通过图表以及物理公式,利用数学待定系数法求解相关参数。通过动能定理列式求解速度,结合圆周运动知识求出相关作用力。

练习册系列答案
相关题目

违法和不良信息举报电话:027-86699610 举报邮箱:58377363@163.com

精英家教网