题目内容
如图所示,在光滑绝缘水平面上,质量为m的均匀绝缘棒AB长为L、带有正电,电量为Q且均匀分布.在水平面上O点右侧有匀强电场,场强大小为E,其方向为水平向左,BO距离为x,若棒在水平向右的大小为QE/4的恒力作用下由静止开始运动.求:(1)棒的B端进入电场L/8时的加速度大小和方向;
(2)棒在运动过程中的最大动能.
(3)棒的最大电势能.(设O点处电势为零)
【答案】分析:(1)棒的B端进入电场
L时,分析棒的受力情况:向右的恒力
QE,向左的电场力
,根据牛顿第二定律求解加速度;
(2)棒进入电场的过程中,恒力先大于电场力,后恒力小于电场力,棒先做加速运动后做减速运动,当恒力与电场力平衡时,速度最大,由平衡条件求出棒进入电场的距离,由动能定理求解最大动能;
(3)棒减速到零时,棒可能全部进入电场,也可能不能全部进入电场,分情况进行讨论,根据动能定理求出棒进入电场的距离,由电场力做功求出电势能的最大值.
解答:
解:(1)根据牛顿第二定律,得
解得
,方向向右.
(2)设当棒进入电场x时,其动能达到最大,则此时棒受力平衡,有

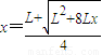
解得 x=
L
由动能定理得:

(3)棒减速到零时,棒可能全部进入电场,也可能不能全部进入电场,设恰能全部进入电场,
则有:
,
得 x=L;
当x<L,棒不能全部进入电场,设进入电场x
根据动能定理得
解之得:
则
当x>L,棒能全部进入电场,设进入电场x

得:
则
答:(1)棒的B端进入电场
L时的加速度大小为
,方向向右;
(2)棒在运动过程中的最大动能是
.
(3)棒的最大电势能可能是
、
和
.
点评:本题中由于棒受到的电场力随x均匀变化,用平均值求解电场力做功.棒能否全部进入电场不清楚时,要分情况进行讨论,不能漏解.
(2)棒进入电场的过程中,恒力先大于电场力,后恒力小于电场力,棒先做加速运动后做减速运动,当恒力与电场力平衡时,速度最大,由平衡条件求出棒进入电场的距离,由动能定理求解最大动能;
(3)棒减速到零时,棒可能全部进入电场,也可能不能全部进入电场,分情况进行讨论,根据动能定理求出棒进入电场的距离,由电场力做功求出电势能的最大值.
解答:
解得
(2)设当棒进入电场x时,其动能达到最大,则此时棒受力平衡,有
解得 x=
由动能定理得:
(3)棒减速到零时,棒可能全部进入电场,也可能不能全部进入电场,设恰能全部进入电场,
则有:
得 x=L;
当x<L,棒不能全部进入电场,设进入电场x
根据动能定理得
解之得:
则
当x>L,棒能全部进入电场,设进入电场x
得:
则
答:(1)棒的B端进入电场
(2)棒在运动过程中的最大动能是
(3)棒的最大电势能可能是
点评:本题中由于棒受到的电场力随x均匀变化,用平均值求解电场力做功.棒能否全部进入电场不清楚时,要分情况进行讨论,不能漏解.
练习册系列答案
相关题目
| A、小球P的带电量缓慢减小,则它往复运动过程中振幅不断减小 | B、小球P的带电量缓慢减小,则它往复运动过程中每次经过O点时的速率不断减小 | C、点电荷M、N的带电量同时等量地缓慢增大,则小球P往复运动过程中周期不断减小 | D、点电荷M、N的带电量同时等量地缓慢增大,则小球P往复运动过程中振幅不断减小 |