题目内容

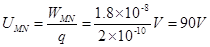
若将一个电量为2.0×10-10C的正电荷,从零电势点移到电场中M点要克服电场力做功8.0×10-9J,则M点的电势是       V;若再将该电荷从M点移到电场中的N点,电场力做功1.8×10-8J,则MN两点间的电势差UMN        V。

40 V  ; 90 V

解析试题分析:由电场力做功与电势能的关系得到,,得到;由得到.
考点:本题考查电场力做功与电势能的关系,电场力做功的公式
点评:本题学生要熟练掌握电场力做功与电势能的关系式,电场力做功的公式,能用公式进行相关的计算。

练习册系列答案
相关题目

违法和不良信息举报电话:027-86699610 举报邮箱:58377363@163.com

精英家教网