ÌâÄ¿ÄÚÈÝ

ÈçͼËùʾ£¬ÂÝÏß¹Üºá½ØÃæ»ýΪS£¬ÏßȦÔÑÊýΪN£¬µç×èΪR1£¬¹ÜÄÚÓÐˮƽÏò×óµÄ±ä»¯´Å³¡£®ÂÝÏß¹ÜÓë×ã¹»³¤µÄƽÐнðÊôµ¼¹ìMN¡¢PQÏàÁ¬²¢¹Ì¶¨ÔÚÍ¬Ò»Æ½ÃæÄÚ£¬ÓëË®Æ½ÃæµÄ¼Ð½ÇΪq £¬Á½µ¼¹ì¼ä¾àΪL£®µ¼¹ìµç×èºöÂÔ²»¼Æ£®µ¼¹ì´¦ÓÚ´¹Ö±Ð±ÃæÏòÉÏ¡¢´Å¸ÐӦǿ¶ÈΪB0µÄÔÈÇ¿´Å³¡ÖУ®½ðÊô¸Ëab´¹Ö±µ¼¹ì£¬¸ËÓëµ¼¹ì½Ó´¥Á¼ºÃ£¬²¢¿ÉÑØµ¼¹ìÎÞĦ²Á»¬¶¯£®ÒÑÖª½ðÊô¸ËabµÄÖÊÁ¿Îªm£¬µç×èΪR2£¬ÖØÁ¦¼ÓËÙ¶ÈΪg£®ºöÂÔÂÝÏ߹ܴų¡¶Ô½ðÊô¸ËabµÄÓ°Ïì¡¢ºöÂÔ¿ÕÆø×èÁ¦£®

(1)Ϊʹab¸Ë±£³Ö¾²Ö¹£¬Çóͨ¹ýabµÄµçÁ÷µÄ´óСºÍ·½Ïò£»

(2)µ±ab¸Ë±£³Ö¾²Ö¹Ê±£¬ÇóÂÝÏß¹ÜÄڴų¡µÄ´Å¸ÐӦǿ¶ÈBµÄ±ä»¯ÂÊ£»

(3)ÈôÂÝÏß¹ÜÄÚ·½ÏòÏò×óµÄ´Å³¡µÄ´Å¸ÐӦǿ¶ÈµÄ±ä»¯ÂÊD B/D t£½k(k£¾0)£®½«½ðÊô¸ËabÓɾ²Ö¹ÊÍ·Å£¬¸Ë½«ÑØÐ±ÃæÏòÏÂÔ˶¯£®Ç󵱸˵ÄËÙ¶ÈΪvʱ£¬¸ËµÄ¼ÓËÙ¶È´óС£®

´ð°¸£º
½âÎö£º

¡¡¡¡(1)ÒÔ½ðÊô¸ËabΪÑо¿¶ÔÏ󣬸ù¾ÝƽºâÌõ¼þ£­B0IL£½0(1·Ö)

¡¡¡¡µÃ(1·Ö)

¡¡¡¡Í¨¹ýab¸ËµçÁ÷·½ÏòΪÓÉbµ½a(»òÔÚͼÖбê³ö)(1·Ö)

¡¡¡¡(2)¸ù¾Ý·¨À­µÚµç´Å¸ÐÓ¦¶¨ÂÉ(1·Ö)

¡¡¡¡¸ù¾ÝÅ·Ä·¶¨ÂÉ(1·Ö)

¡¡¡¡µÃ(2·Ö)

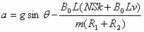
¡¡¡¡(3)¸ù¾Ý·¨À­µÚµç´Å¸ÐÓ¦¶¨ÂÉ(1·Ö)

¡¡¡¡ab¸ËÇиî´Å¸ÐÏß²úÉúµÄµç¶¯ÊÆE2£½B0Lv(1·Ö)

¡¡¡¡×Üµç¶¯ÊÆE×Ü£½E1£«E2(1·Ö)

¡¡¡¡¸ÐÓ¦µçÁ÷

¡¡¡¡¸ù¾ÝÅ£¶ÙµÚ¶þ¶¨ÂÉ(1·Ö)

¡¡¡¡°²ÅàÁ¦F£½B0I¡äL(1·Ö)

¡¡¡¡ËùÒÔ(2·Ö)


Á·Ï°²áϵÁдð°¸
Ïà¹ØÌâÄ¿

Î¥·¨ºÍ²»Á¼ÐÅÏ¢¾Ù±¨µç»°£º027-86699610 ¾Ù±¨ÓÊÏ䣺58377363@163.com

¾«Ó¢¼Ò½ÌÍø