ÌâÄ¿ÄÚÈÝ

·¢É䵨Çòͬ²½ÎÀÐÇʱ£¬ÏȽ«ÎÀÐÇ·¢ÉäÖÁ½üµØÔ²ÐιìµÀ1£¬È»ºó¾­µã»ðʹÆäÑØÍÖÔ²¹ìµÀ2ÔËÐУ¬×îºóÔٴεã»ð½«ÎÀÐÇËÍÈëͬ²½¹ìµÀ3£®¹ìµÀ1¡¢2ÏàÇÐÓÚQµã£¬¹ìµÀ2¡¢3ÏàÇÐÓÚPµã£®ÈçͼËùʾ£®Ôòµ±ÎÀÐÇ·Ö±ðÔÚ1¡¢2¡¢3¹ìµÀÉÏÕý³£ÔËÐÐʱ£¬ÒÔÏÂ˵·¨ÖÐÕýÈ·µÄÊÇ

[¡¡¡¡]

A£®ÎÀÐÇÔÚ¹ìµÀ3ÉϵÄËÙÂÊ´óÓÚ¹ìµÀ1ÉϵÄËÙÂÊ

B£®ÎÀÐÇÔÚ¹ìµÀ3ÉϵĽÇËÙ¶ÈСÓÚÔÚ¹ìµÀ1ÉϵĽÇËÙ¶È

C£®ÎÀÐÇÔÚ¹ìµÀ1ÉϾ­¹ýQµãʱµÄ¼ÓËÙ¶È´óÓÚËüÔÚ¹ìµÀ2ÉϾ­¹ýQµãʱµÄ¼ÓËÙ¶È

D£®ÎÀÐÇÔÚ¹ìµÀ2ÉϾ­¹ýPµãʱµÄ¼ÓËٶȵÈÓÚËüÔÚ¹ìµÀ3ÉϾ­¹ýPµãʱµÄ¼ÓËÙ¶È

´ð°¸£ºBD
½âÎö£º

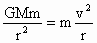
¶ÔAÑ¡Ï´ËÑ¡Ïî±È½ÏµÄÊÇÎÀÐǵÄÏßËÙ¶È£¬ÓÉÓÚÍòÓÐÒýÁ¦ÌṩÎÀÐǵÄÏòÐÄÁ¦£¬ÔòÓУ¬ËùÒÔ£¬Òò¹ìµÀ1µÄÔ²°ë¾¶Ð¡ÓÚ¹ìµÀ3µÄÔ²°ë¾¶£¬¹Ê´ËÎÀÐÇÔÚ¹ìµÀ1ÉϵÄËÙ¶È´óÓÚÔÚ¹ìµÀ3ÉϵÄËÙ¶È£¬¹ÊAÑ¡Ïî´íÎó

¶ÔBÑ¡Ï´ËÑ¡Ïî±È½ÏµÄÊÇÎÀÐǵĽÇËÙ¶È£¬ÓÉÓÚÍòÓÐÒýÁ¦ÌṩÎÀÐǵÄÏòÐÄÁ¦£¬ÔòÓÐËùÒÔ£¬Òò¹ìµÀ1µÄÔ²°ë¾¶Ð¡ÓÚ¹ìµÀ3µÄÔ²°ë¾¶£¬¹Ê´ËÎÀÐÇÔÚ¹ìµÀ1ÉϵĽÇËÙ¶È´óÓÚÔÚ¹ìµÀ3ÉϵĽÇËÙ¶È£¬¹ÊBÑ¡ÏîÕýÈ·

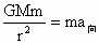
¶ÔCÑ¡ÏQµãÊÇÔ²ÖܹìµÀ1ÓëÍÖÔ²¹ìµÀ2µÄÏàÇе㣬Qµã¼ÈÔÚÔ²ÖܹìµÀ1ÉÏÓÖÔÚÍÖÔ²¹ìµÀ2ÉÏ£¬Qµãµ½µØÐĵľàÀërÒ»¶¨£®ÓÉÓÚÍòÓÐÒýÁ¦ÌṩÏòÐÄÁ¦£¬ÔòÓУ¬ËùÒÔÏÔÈ»£¬ÎÀÐÇÔÚÔ²ÖܹìµÀ1ÉϵÄQµãºÍÔÚÍÖÔ²¹ìµÀ2ÉϵÄQµãʱ¾ßÓеÄÏòÐļÓËٶȾùÊÇ£¬¹ÊCÑ¡Ïî´íÎó£®

¶ÔDÑ¡ÏÓÉÉÏÃæµÄÌÖÂÛ¿ÉÖª£¬ÒòΪԲÖܹìµÀ3ÉϵÄPµãÓëÍÖÔ²¹ìµÀ2ÉϵÄPµãÊÇͬһµã£¬Pµãµ½µØÐĵľàÀëÊÇÒ»¶¨µÄ£¬Óɵã¬ÆäÔÚPµãµÄÏòÐļÓËÙ¶ÈÊÇÏàͬµÄ£¬¹ÊDÑ¡ÏîÕýÈ·£®

ÕâÊÇÒ»¸ö°ÑÎÀÐÇ·¢Éäµ½Ô¤¶¨¹ìµÀÉÏÈ¥µÄÇé¾°Ä£ÐÍ£¬Éæ¼°µ½ÁËÈËÀàÎÀÐǵķ¢ÉäºÍÔËÐÐÖеÄÏßËÙ¶È¡¢½ÇËÙ¶È¡¢ÏòÐļÓËٶȵĻù±¾ÖªÊ¶£¬Çó½â´ËÀàÌâÄ¿±ØÐëÔËÓÃÅ£¶ÙÍòÓÐÒýÁ¦¶¨ÂɺÍÔÈËÙÔ²ÖÜÔ˶¯µÄ¹æÂÉ£®Òª×¢Ò⣺(1)Ö»ÓÐÔÚÔ²ÖܹìµÀÉϲÅÊÇÍòÓÐÒýÁ¦ÍêÈ«ÌṩÏòÐÄÁ¦£»(2)ÎÀÐǵĹìµÀ°ë¾¶ÓëÎÀÐǵ½µØÐĵľàÀëÊDz»Í¬µÄ£»(3)±È½ÏÎÀÐÇÔÚ²»Í¬µÄ¹ìµÀÉϵĽÇËÙ¶È¡¢ÏßËÙ¶È¡¢¼ÓËÙ¶Èʱ£¬Òª×¢ÒâÑ¡Óò»Í¬µÄ¹«Ê½£®


Á·Ï°²áϵÁдð°¸
Ïà¹ØÌâÄ¿

Î¥·¨ºÍ²»Á¼ÐÅÏ¢¾Ù±¨µç»°£º027-86699610 ¾Ù±¨ÓÊÏ䣺58377363@163.com

¾«Ó¢¼Ò½ÌÍø