题目内容
一定质量的理想气体,经过图所示的由A经B到C的状态变化.设状态A的温度为300K.则:状态C的温度TC=______K;如果由A经B到C的状态变化的整个过程中,气体对外做了400J的功,气体的内能增加20J,则这个过程气体______(填“吸收”或“放出”)______J的热量.
【答案】分析:根据理想气体状态方程列式求解状态C的温度;根据热力学第一定律分析吸放热情况.
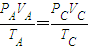
解答:解:状态A到状态B过程是等容过程,根据理想气体状态方程,有:

代入数据,有:

故TC=375K
由A经B到C的状态变化的整个过程中,气体对外做了400J的功,气体的内能增加20J,根据热力学第一定律,有:
△U=W+Q
解得:Q=△U-W=20J-(-400J)=420J;
故答案为:375,吸收,420.
点评:本题是根据理想气体状态方程和热力学第一定律列式求解,关键是熟悉规律.
解答:解:状态A到状态B过程是等容过程,根据理想气体状态方程,有:
代入数据,有:
故TC=375K
由A经B到C的状态变化的整个过程中,气体对外做了400J的功,气体的内能增加20J,根据热力学第一定律,有:
△U=W+Q
解得:Q=△U-W=20J-(-400J)=420J;
故答案为:375,吸收,420.
点评:本题是根据理想气体状态方程和热力学第一定律列式求解,关键是熟悉规律.
练习册系列答案
相关题目
下列说法中不正确的是( )
| A、布朗运动是由液体分子从各个方向对悬浮粒子撞击作用的不平衡引起的 | B、对于一定质量的理想气体,若单位体积内分子个数不变,当分子热运动加剧时,压强一定变大 | C、当两个分子间的距离为r0(平衡位置)时,分子势能最小且一定为零 | D、单晶体和多晶体均存在固定的熔点 |