题目内容
如图所示的xOy坐标系中,x轴上固定一个点电荷Q,y轴上固定一根光滑绝缘细杆(细杆的下端刚好在坐标原点D处),将一个套在杆上重力不计的带电圆环(视为质点)从杆上P处由静止释放,圆环从O处离开细杆后恰好绕点电荷Q做圆周运动.下列说法正确的是( )A.圆环沿细杆从P运动到D的过程中,速度一直增大
B.圆环沿细杆从P运动到D的过程中,加速度一直增大
C.增大圆环所带的电荷量,其他条件不变,圆环从0处离开细杆后仍然能绕点电荷做圆周运动
D.将带电圆环(视为质点)从杆上P的上方由静止释放,其他条件不变,圆环从D处离开细杆后仍然能绕点电荷做圆周运动
【答案】分析:根据动能定理,通过合力做功情况判断动能的变化,根据所受合力的变化判断加速度的变化.圆环离开细杆后做圆周运动,靠库伦引力提供向心力.
解答:解:A、圆环从P运动到O的过程中,只有库仑引力做正功,根据动能定理知,动能一直增大,则速度一直增大.故A正确.
B、圆环从P运动到O的过程中,受库仑引力,杆子的弹力,库仑引力沿杆子方向上的分力等于圆环的合力,滑到O点时,所受的合力为零,加速度为零.故B错误.
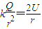
C、根据动能定理得,
,根据牛顿第二定律得,
,联立解得
,可知圆环仍然可以做圆周运动.若增大高度,知电势差U增大,库仑引力与所需向心力不等,不能做圆周运动.故C正确,D错误.
故选AC.
点评:本题考查了动能定理、牛顿第二定律,综合性较强,对学生的能力要求较高,关键需理清圆环的运动情况,知道圆环的合力变化.
解答:解:A、圆环从P运动到O的过程中,只有库仑引力做正功,根据动能定理知,动能一直增大,则速度一直增大.故A正确.
B、圆环从P运动到O的过程中,受库仑引力,杆子的弹力,库仑引力沿杆子方向上的分力等于圆环的合力,滑到O点时,所受的合力为零,加速度为零.故B错误.
C、根据动能定理得,
故选AC.
点评:本题考查了动能定理、牛顿第二定律,综合性较强,对学生的能力要求较高,关键需理清圆环的运动情况,知道圆环的合力变化.
练习册系列答案
相关题目