题目内容

(9分)如图所示,光滑水平面上一质量为M、长为L的木板右端靠竖直墙壁。质量为m的小滑块(可视为质点)以水平速度v0滑上木板的左端,滑到木板的右端时速度恰好为零。

①求小滑块与木板间的摩擦力大小;

②现小滑块以某一速度v滑上木板的左端,滑到木板的右端时与竖直墙壁发生弹性碰撞,然后向左运动,刚好能够滑到时木板左端而不从木板上落下,试求的值

 

【答案】

;②

【解析】

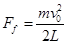
试题分析:①小滑块以水平速度v0右滑时,有:

         2分

解得             1分

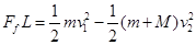
②小滑块以速度v滑上木板到运动至碰墙时速度为v1,则有

          1分

滑块与墙碰后至向左运动到木板左端,此时滑块、木板的共同速度为v2,则有

                  2分

           2分

上述四式联立,解得           1分

考点:考查学生综合应用动量守恒定律和能量守恒定律在碰撞问题中的应用能力.

 

练习册系列答案
相关题目

违法和不良信息举报电话:027-86699610 举报邮箱:58377363@163.com

精英家教网