题目内容

(6分)某同学利用图甲所示的实验装置,探究物块的水平桌面上的运动规律。物块在重物的牵引下开始运动,重物落地后,物块再运动一段距离停在桌面上(尚未到达滑轮处)。从纸带上便于测量的点开始,每5个点取1个计数点,相邻计数点间的距离如图乙所示,打点计时器电源的频率为50HZ

(1)通过分析纸带数据,可判断物块在两相领计数点______和_____之间某时刻开始减速。

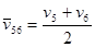
(2)计数点5对应的速度大小为________m/s,计数点6对应的速度大小为______m/s。(保留三位有效数字)

(3)物块减速运动过程中加速度的大小为a=________m/s2

 

【答案】

(1) 6   7       (2) 1.00   1.20        (3)2.00

【解析】

试题分析:(1)物块在重物的牵引下,近似做匀加速直线运动,重物落地后,物块在摩擦力的作用下做匀减速运动,由图乙可判断物块在两相领计数点6和7之间某时刻开始减速。

(2)做匀变速直线运动的物体,某一时间内的平均速度等于这段时间中间时刻的速度,所以第5个计数点的速度;由平均速度的定义得,第5个计数点和第6个计数点之间的平均速度,做匀变速直线运动的物体,某一时间内的平均速度等于这段时间初、末速度之和的一半,因此,解得

(3)根据逐差法,物块减速运动过程中加速度,负号表示减速运动。

考点:本题考查了实验数据的处理。

 

练习册系列答案
相关题目
(1)某同学利用图甲所示的实验装置,探究物块在水平桌面上的运动规律.物块在重物的牵引下开始运动,重物落地后,物块再运动一段距离停在桌面上(尚未到达滑轮处).从纸带上便于测量的点开始,每5个点取1个计数点,相邻计数点间的距离如图乙所示.打点计时器电源的频率为50Hz
精英家教网
①通过分析纸带数据,可判断物块在两相邻计数点
 
 
之间某时刻开始减速.
②计数点5对应的速度大小为
 
m/s,计数点6对应的速度大小为
 
m/s.(保留三位有效数字)
③物块减速运动过程中加速度的大小为a=
 
m/s2,若用
ag
来计算物块与桌面间的动摩擦因数(g为重力加速度),则计算结果比动摩擦因数的真实值
 
(填“偏大”或“偏小”).
精英家教网(2)在测量金属丝电阻率的实验中,可供选用的器材如下:
待测金属丝:Rx(阻值约4Ω,额定电流约0.5A);
电压表:V(量程3V,内阻约3KΩ);
电流表:A1(量程0.6A,内阻约0.2Ω);
A2(量程3A,内阻约0.05Ω);
电源:E1(电动势3V,内阻不计);
E2(电动势12V,内阻不计);
滑动变阻器:R(最大阻值约20Ω);
螺旋测微器;毫米刻度尺;开关S;导线.
①用螺旋测微器测量金属丝的直径,示数如图丙所示,读数为
 
mm.
②若滑动变阻器采用限流接法,为使测量尽量精确,电流表应选
 
、电源应选
 
(均填器材代号),在虚线框内(如图丁)完成电路原理图.

违法和不良信息举报电话:027-86699610 举报邮箱:58377363@163.com

精英家教网