ÌâÄ¿ÄÚÈÝ

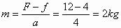
ÎïÌå¾²Ö¹ÔÚÒ»Ë®Æ½ÃæÉÏ£¬ËüµÄÖÊÁ¿ÊÇmÓëË®Æ½ÃæÖ®¼äµÄ¶¯Ä¦²ÁÒòÊýΪ¦Ì£®Éè×î´ó¾²Ä¦²ÁÁ¦µÈÓÚ»¬¶¯Ä¦²ÁÁ¦£®ÏÖÔÂÆ½ÐÐÓÚË®Æ½ÃæµÄÁ¦FÀ­ÎïÌ壬µÃµ½¼ÓËÙ¶ÈaºÍÀ­Á¦FµÄ¹ØÏµÍ¼ÏóÈçͼËùʾ

(1)

¸ù¾ÝͼÏó¿ÉÒÔÇó³öÎïÌåµÄÖÊÁ¿m£®ÍõÃôͬѧ·ÖÎöµÄ¹ý³ÌÊÇ£º´ÓͼÏóÖеõ½F£½12Nʱ£¬ÎïÌåµÄ¼ÓËÙ¶Èa£½4m/s2£¬¸ù¾ÝÅ£¶ÙµÚ¶þ¶¨ÂÉF£½ma£¬ÇóµÃÖÊÁ¿£½3kg£®ÇëÅжÏÍõÃôͬѧµÄ·ÖÎö¹ý³ÌÊÇ·ñÕýÈ·£¬²¢·ÖÎöÔ­Òò£¬×îºóÓ¦¸ø³öÕýÈ·µÄ½á¹û£®

(2)

¸ù¾ÝͼÏó¼ÆËãÎïÌåÓëË®Æ½ÃæÖ®¼ä¶¯Ä¦²ÁÒòÊý¦ÌµÄÊýÖµ£®(g£½10m/s2)

´ð°¸£º
½âÎö£º

(1)

½â´ð£ºÍõÃôͬѧµÄ·ÖÎöºÍ½â´ðÊÇ´íµÄ£¬ÍõÃô´íÔÚ°ÑˮƽÁ¦Fµ±×÷ºÏÍâÁ¦£®(2·Ö)

ÕýÈ·µÄÇó½â¹ý³ÌÊÇ£ºÓÉͼÏó¿ÉÖª£¬Îï¿éÔÚˮƽ·½ÏòÊÜÀ­Á¦F£½80N£¬Ä¦²ÁÁ¦µÄ´óСf£½4N

ÓÉÅ£¶ÙµÚ¶þ¶¨ÂÉ¡ÆF£½ma

¹Ê(4·Ö)

(2)

½â£º¡ßf£½4N£¬¶øf£½¦ÌN£¬N£½mg£½20N£¬¡à£½0.2(3·Ö)


Á·Ï°²áϵÁдð°¸
Ïà¹ØÌâÄ¿

Î¥·¨ºÍ²»Á¼ÐÅÏ¢¾Ù±¨µç»°£º027-86699610 ¾Ù±¨ÓÊÏ䣺58377363@163.com

¾«Ó¢¼Ò½ÌÍø