题目内容

(19分)如图所示,s为一电子发射枪,可以连续发射电子束,发射出来的电子初速度可视为0,电子经过平行板A、B之间的加速电场加速后,从o点沿x轴正方向进入xoy平面内,在第一象限内沿x、y轴各放一块平面荧光屏,两屏的交点为o,已知在y>0、0<x<a的范围内有垂直纸面向外的匀强磁场,在y>0、x>a的区域有垂直纸面向里的匀强磁场,大小均为B。已知给平行板AB提供直流电压的电源E可以给平行板AB提供0~U之间的各类数值的电压,现调节电源E的输出电压,从0调到最大值的过程中发现当AB间的电压为U时,x轴上开始出现荧光。(不计电子的重力)试求:

(1)当电源输出电压调至U和U时,进入磁场的电子运动半径之比r1:r2

(2)两荧光屏上的发光亮线的范围。

 

【答案】

(1)(2)

【解析】

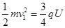
试题分析:(1)设电子的质量为m,电量为q,经过和U的电压加速后速度分别为v1和v2,根据动能定理和牛顿第二定律有:

      ①                (1分)

        ②                (1分)

        ③              (1分)

       ④              (1分)

由①②③④得              (2分)

(2)由题意可知经加速电压为加速的电子打在y轴最高点此时r1=a:y轴上的发光范围为:0<y≤2a                             (3分)

当加速电压调至后,越过磁场边界的电子与边界线相切打在x轴的x=2a处。 (3分)

当加速电压调至最大值U时,此时飞出的电子打在x轴最远处,此时运动半径

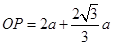
由数学知识可知,    ,

故,O恰好打在x轴上,所以电子垂直打在x轴上:故     (5分)

故在x轴上的发光范围:            (2分)

考点:考查了带电粒子在电磁场中的运动规律的综合应用,难度较大

 

练习册系列答案
相关题目

违法和不良信息举报电话:027-86699610 举报邮箱:58377363@163.com

精英家教网