题目内容
将一根长为L的直导线,由中点折成直角形放入磁感应强度为B的匀强磁场中.导线所在平面与磁场垂直,当导线中通以电流I后,磁场对通电导线的作用力大小为( )A.BIL
B.
C.
D.
【答案】分析:正确解答本题的关键是求出通电导线的有效长度,然后根据公司F=BIL求解.
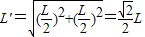
解答:解:当L的直导线,由中点折成直角形时,有效长度为:
由于磁场和导线垂直,根据安培力公式F=BIL,解得:
,故ABC错误,D正确.
故选D.
点评:对于安培力公式F=BIL要明确其适用条件以及公式中各个物理量的含义.
解答:解:当L的直导线,由中点折成直角形时,有效长度为:
由于磁场和导线垂直,根据安培力公式F=BIL,解得:
故选D.
点评:对于安培力公式F=BIL要明确其适用条件以及公式中各个物理量的含义.
练习册系列答案
相关题目