ÌâÄ¿ÄÚÈÝ
Èçͼ¼×ËùʾµÄ×ø±êϵÖУ¬µÚËÄÏÞÏóÄÚ´æÔÚ´¹Ö±ÓÚÖ½ÃæÏòÀïµÄÓнçÔÈÇ¿´Å³¡£¬x·½ÏòµÄ¿í¶ÈOA=20£¨1£©ÇóÀë×Ó½øÈë´Å³¡BµÄËٶȵĴóС£»
£¨2£©Àë×Ó½øÈë´Å³¡Bºó£¬Ä³Ê±¿ÌÔÙ¼ÓÒ»¸öͬ·½ÏòµÄÔÈÇ¿´Å³¡£¬Ê¹Àë×Ó×öÍêÕûµÄÔ²ÖÜÔ˶¯£¬ÇóËù¼Ó´Å³¡´Å¸ÐӦǿ¶ÈµÄ×îСֵ£»
£¨3£©Àë×Ó½øÈë´Å³¡Bºó£¬ÔÙ¼ÓÒ»¸öÈçͼÒÒËùʾµÄ±ä»¯´Å³¡£¨Õý·½ÏòÓëB·½ÏòÏàͬ£¬²»¿¼ÂǴų¡±ä»¯Ëù²úÉúµÄµç³¡£©£¬ÇóÀë×Ó´ÓOµãµ½AµãµÄ×Üʱ¼ä£®
¡¾´ð°¸¡¿·ÖÎö£º£¨1£©Àë×ÓÔڴų¡ÖÐ×öÔÈËÙÔ²ÖÜÔ˶¯£¬¹ìµÀ°ë¾¶¿ÉÓɼ¸ºÎ¹ØÏµÇóµÃ£¬ÂåÂØ×ÈÁ¦ÌṩÏòÐÄÁ¦£¬¸ù¾ÝÏòÐÄÁ¦¹«Ê½¼´¿ÉÇóµÃËÙ¶È£»
£¨2£©ÓÉ
Öª£¬BԽС£¬rÔ½´ó£®ÉèÀë×ÓÔڴų¡ÖÐ×î´ó°ë¾¶ÎªR£¬¼¸ºÎ¹ØÏµÇóµÃ°ë¾¶£¬ÔÙ¸ù¾ÝÏòÐÄÁ¦¹«Ê½¼´¿ÉÇóµÃB£¬½ø¶øÇó³öÍâ¼Ó´Å³¡×îСֵ£»
£¨3£©ÏÈËã³öÀë×ÓÔڴų¡ÖÐÔ˶¯µÚÒ»´ÎÓöµ½Íâ¼Ó´Å³¡µÄ¹ý³ÌÖй켣¶ÔÓ¦µÄÔ²ÐĽǣ¬Óɼ¸ºÎ¹ØÏµÇó³ö´Ëʱʩ¼Ó¸½¼Ó´Å³¡Ê±Àë×ÓÔڴų¡ÖÐÄÜ×öµÄÔ²ÖÜÔ˶¯µÄ×î´ó°ë¾¶£¬¸ù¾ÝÏòÐÄÁ¦¹«Ê½Çó³öÀë×ÓÔÚÓи½¼Ó´Å³¡Ê±Ô˶¯°ë¾¶£¬ÅжÏÁ£×ÓÊÇ·ñÄÜ×öÍêÕûµÄÔ²ÖÜÔ˶¯£¬¶ÔÕÕÍâ¼Ó´Å³¡µÄ¹æÂÉÇó³öÁ£×Ó×öÔ²ÖÜÔ˶¯µÄ´ÎÊý£¬×îºóÇóµÃ×Üʱ¼ä£®
½â´ð£º½â£º
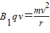
£¨1£©ÈçͼËùʾ£¬Óɼ¸ºÎ¹ØÏµµÃÀë×ÓÔڴų¡ÖÐÔ˶¯Ê±µÄ¹ìµÀ°ë¾¶r1=0.2m
Àë×ÓÔڴų¡ÖÐ×öÔÈËÙÔ²ÖÜÔ˶¯£¬ÂåÂØ×ÈÁ¦ÌṩÏòÐÄÁ¦
Bqv=
ÇóµÃ£ºv=4×106m/s
£¨2£©ÓÉ
Öª£¬BԽС£¬rÔ½´ó£®ÉèÀë×ÓÔڴų¡ÖÐ×î´ó°ë¾¶ÎªR
Óɼ¸ºÎ¹ØÏµµÃ£ºR=0.05m
ÓÉÅ£¶ÙÔ˶¯¶¨ÂɵÃ
ÇóµÃB1=4×10-4T
ÔòÍâ¼Ó´Å³¡
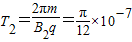
T
£¨3£©Àë×ÓÔÚԴų¡ÖÐÔ˶¯ÖÜÆÚ
s
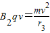
Àë×ÓÔڴų¡ÖÐÔ˶¯µÚÒ»´ÎÓöµ½Íâ¼Ó´Å³¡µÄ¹ý³ÌÖй켣¶ÔÓ¦µÄÔ²ÐĽÇ

´Ëʱʩ¼Ó¸½¼Ó´Å³¡Ê±Àë×ÓÔڴų¡ÖÐÄÜ×öµÄÔ²ÖÜÔ˶¯µÄ×î´ó°ë¾¶Îªr2
Óɼ¸ºÎ¹ØÏµÖª£º
m
Àë×ÓÔÚÓи½¼Ó´Å³¡Ê±Ô˶¯°ë¾¶Îªr3
Ôò
£¬ÇóµÃ
Òòr3£¼r2£¬ËùÒÔÀë×ÓÄÜ×öÍêÕûµÄÔ²ÖÜÔ˶¯
Àë×ÓÔÚÍâ¼Ó´Å³¡ºóʱ£¬
s
¶ÔÕÕÍâ¼Ó´Å³¡µÄ¹æÂÉ¿ÉÖª£¬Ã¿¸ô
sÀë×ÓÔÚÖÜÆÚÐÔÍâ¼Ó´Å³¡Ê±£¬Àë×ÓÇ¡¿É×öÒ»´ÎÍêÕûµÄÔÈËÙÔ²ÖÜÔ˶¯£¬¹²×öÈý´Î£¬×îºóÔÚAµãÀ뿪´Å³¡£®
Àë×Ó´ÓOµã½øÈëµ½AµãÉä³öµÄ×Üʱ¼äΪ
s
´ð£º£¨1£©Àë×Ó½øÈë´Å³¡BµÄËٶȵĴóСΪ4×106m/s£»
£¨2£©Ëù¼Ó´Å³¡´Å¸ÐӦǿ¶ÈµÄ×îСֵΪ3×10-4T£»
£¨3£©Àë×Ó´ÓOµãµ½AµãµÄ×Üʱ¼äΪ
s£®
µãÆÀ£º¸ÃÌâÖ÷Òª¿¼²éÁË´øµçÁ£×ÓÔڴų¡ÖеÄÔ˶¯£®ÒªÇóͬѧÃÇÄÜÕýÈ·»³öÁ£×ÓÔ˶¯µÄ¹ì¼££¬²¢¸ù¾Ý¼¸ºÎ¹ØÏµÇóµÃ¹ìµÀ°ë¾¶£¬ÄÜÓÃÏòÐÄÁ¦¹«Ê½ºÍÖÜÆÚ¹«Ê½½âÌ⣬ÄѶȽϴó£¬ÊôÓÚÄÑÌ⣮
£¨2£©ÓÉ
£¨3£©ÏÈËã³öÀë×ÓÔڴų¡ÖÐÔ˶¯µÚÒ»´ÎÓöµ½Íâ¼Ó´Å³¡µÄ¹ý³ÌÖй켣¶ÔÓ¦µÄÔ²ÐĽǣ¬Óɼ¸ºÎ¹ØÏµÇó³ö´Ëʱʩ¼Ó¸½¼Ó´Å³¡Ê±Àë×ÓÔڴų¡ÖÐÄÜ×öµÄÔ²ÖÜÔ˶¯µÄ×î´ó°ë¾¶£¬¸ù¾ÝÏòÐÄÁ¦¹«Ê½Çó³öÀë×ÓÔÚÓи½¼Ó´Å³¡Ê±Ô˶¯°ë¾¶£¬ÅжÏÁ£×ÓÊÇ·ñÄÜ×öÍêÕûµÄÔ²ÖÜÔ˶¯£¬¶ÔÕÕÍâ¼Ó´Å³¡µÄ¹æÂÉÇó³öÁ£×Ó×öÔ²ÖÜÔ˶¯µÄ´ÎÊý£¬×îºóÇóµÃ×Üʱ¼ä£®
½â´ð£º½â£º
Àë×ÓÔڴų¡ÖÐ×öÔÈËÙÔ²ÖÜÔ˶¯£¬ÂåÂØ×ÈÁ¦ÌṩÏòÐÄÁ¦
Bqv=
ÇóµÃ£ºv=4×106m/s
£¨2£©ÓÉ
Óɼ¸ºÎ¹ØÏµµÃ£ºR=0.05m
ÓÉÅ£¶ÙÔ˶¯¶¨ÂɵÃ
ÇóµÃB1=4×10-4T
ÔòÍâ¼Ó´Å³¡
£¨3£©Àë×ÓÔÚԴų¡ÖÐÔ˶¯ÖÜÆÚ
Àë×ÓÔڴų¡ÖÐÔ˶¯µÚÒ»´ÎÓöµ½Íâ¼Ó´Å³¡µÄ¹ý³ÌÖй켣¶ÔÓ¦µÄÔ²ÐĽÇ
´Ëʱʩ¼Ó¸½¼Ó´Å³¡Ê±Àë×ÓÔڴų¡ÖÐÄÜ×öµÄÔ²ÖÜÔ˶¯µÄ×î´ó°ë¾¶Îªr2
Óɼ¸ºÎ¹ØÏµÖª£º
Àë×ÓÔÚÓи½¼Ó´Å³¡Ê±Ô˶¯°ë¾¶Îªr3
Ôò
Òòr3£¼r2£¬ËùÒÔÀë×ÓÄÜ×öÍêÕûµÄÔ²ÖÜÔ˶¯
Àë×ÓÔÚÍâ¼Ó´Å³¡ºóʱ£¬
¶ÔÕÕÍâ¼Ó´Å³¡µÄ¹æÂÉ¿ÉÖª£¬Ã¿¸ô
Àë×Ó´ÓOµã½øÈëµ½AµãÉä³öµÄ×Üʱ¼äΪ
´ð£º£¨1£©Àë×Ó½øÈë´Å³¡BµÄËٶȵĴóСΪ4×106m/s£»
£¨2£©Ëù¼Ó´Å³¡´Å¸ÐӦǿ¶ÈµÄ×îСֵΪ3×10-4T£»
£¨3£©Àë×Ó´ÓOµãµ½AµãµÄ×Üʱ¼äΪ
µãÆÀ£º¸ÃÌâÖ÷Òª¿¼²éÁË´øµçÁ£×ÓÔڴų¡ÖеÄÔ˶¯£®ÒªÇóͬѧÃÇÄÜÕýÈ·»³öÁ£×ÓÔ˶¯µÄ¹ì¼££¬²¢¸ù¾Ý¼¸ºÎ¹ØÏµÇóµÃ¹ìµÀ°ë¾¶£¬ÄÜÓÃÏòÐÄÁ¦¹«Ê½ºÍÖÜÆÚ¹«Ê½½âÌ⣬ÄѶȽϴó£¬ÊôÓÚÄÑÌ⣮
Á·Ï°²áϵÁдð°¸
Ïà¹ØÌâÄ¿