题目内容
如图所示,在光滑的水平面上静止放一质量为m的木板B,木板表面光滑,左端固定一轻质弹簧.质量为2m的木块A以速度v从板的右端水平向左滑上木板B.在 木块A与弹簧相互作用的过程中,下列判断正确的是( )A.弹簧压缩量最大时,B板运动速率最大
B.B板的加速度一直增大
C.弹簧给木块A的冲量大小为2mv/3
D.弹簧的最大弹性势能为mv2/3
【答案】分析:滑块与木板发生弹性碰撞,动量守恒,机械能也守恒,根据守恒定律列出两个方程后联立求解;当滑块与长木板速度相等时,弹簧的压缩量最大.
解答:解:A、滑块与木板发生弹性碰撞,动量守恒;当滑块与长木板速度相等时,弹簧的压缩量最大;
此后弹簧要恢复原状,木板进一步加速,故A错误;
B、滑块与木板发生弹性碰撞,弹簧压缩量先增加后减小,故B板的加速度先增加后减小,故B错误;
C、滑块与木板发生弹性碰撞,动量守恒,机械能也守恒;
根据动量守恒定律,有:2mv=2mv1+mv2 ①
根据机械能守恒定律,有:
②
解得:
,
对滑块A,根据动量定理,有:I=2mv1-2mv=
(负号表示方向向右)
故C错误;
D、当滑块与长木板速度相等时,弹簧的压缩量最大;
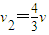
根据动量守恒定律,有:2mv=(m+2m)v ③
系统机械能守恒,根据守恒定律,有:
④
由③④两式解得:
,故D正确;
故选D.
点评:本题关键明确系统的运动规律,然后多次运用动量守恒定律和机械能守恒定律列式求解.
解答:解:A、滑块与木板发生弹性碰撞,动量守恒;当滑块与长木板速度相等时,弹簧的压缩量最大;
此后弹簧要恢复原状,木板进一步加速,故A错误;
B、滑块与木板发生弹性碰撞,弹簧压缩量先增加后减小,故B板的加速度先增加后减小,故B错误;
C、滑块与木板发生弹性碰撞,动量守恒,机械能也守恒;
根据动量守恒定律,有:2mv=2mv1+mv2 ①
根据机械能守恒定律,有:
解得:
对滑块A,根据动量定理,有:I=2mv1-2mv=
故C错误;
D、当滑块与长木板速度相等时,弹簧的压缩量最大;
根据动量守恒定律,有:2mv=(m+2m)v ③
系统机械能守恒,根据守恒定律,有:
由③④两式解得:
故选D.
点评:本题关键明确系统的运动规律,然后多次运用动量守恒定律和机械能守恒定律列式求解.
练习册系列答案
相关题目