ÌâÄ¿ÄÚÈÝ
ÈçͼËùʾ£¬M¡¢NÊÇÊúÖ±·ÅÖõÄÁ½Æ½ÐнðÊô°å£¬·Ö±ð´øµÈÁ¿ÒìÖÖµçºÉ£¬Á½¼«°å¼ä²úÉúÒ»¸öˮƽÏòÓÒµÄÔÈÇ¿µç³¡£¬³¡Ç¿ÎªE£¬Ò»ÖÊÁ¿Îªm¡¢µçºÉÁ¿Îª+qµÄ΢Á££¬ÒÔ³õËÙ¶ÈvÊúÖ±ÏòÉÏ´ÓÁ½¼«ÕýÖмäµÄAµãÉäÈëÔÈÇ¿µç³¡ÖУ¬Î¢Á£´¹Ö±´òµ½N¼«°åÉϵÄCµã£¬ÒÑÖªAB=BC£®²»¼Æ¿ÕÆø×èÁ¦£¬Ôò¿ÉÖª£¨ £©A£®Î¢Á£Ôڵ糡ÖÐ×öÅ×ÎïÏßÔ˶¯
B£®Î¢Á£´òµ½CµãʱµÄËÙÂÊÓëÉäÈëµç³¡Ê±µÄËÙÂÊÏàµÈ
C£®MN°å¼äµÄµçÊÆ²îΪ
D£®MN°å¼äµÄµçÊÆ²îΪ
¡¾´ð°¸¡¿·ÖÎö£º¸ù¾ÝÀàÆ½Å×Ô˶¯µÄÌØµã£º³õËٶȵķ½ÏòÓëºÏÍâÁ¦µÄ·½Ïò´¹Ö±À´Åж¨Á£×ÓÊÇ·ñÔڵ糡ÖÐ×öÀàÆ½Å×Ô˶¯£¬¸ù¾Ý¶¯Äܶ¨ÀíÅж¨Á£×Ó´ïµ½CµãÊǵÄËÙ¶È£¬ºÍMNÖ®¼äµÄµçÊÆ²î£®
½â´ð£º½â£ºA£ºÒòµç³¡Á¦ºÍÖØÁ¦¾ùΪºãÁ¦£¬ÆäºÏÁ¦ÒàΪºãÁ¦£¬ÇÒÓëvÓÐÒ»¶¨¼Ð½Ç£¬¹Ê΢Á£×öÔȱäËÙÇúÏßÔ˶¯--¼´Å×ÎïÏßÔ˶¯£¬ËùÒÔAÕýÈ·£»
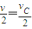
B£ºÒòAB=BC£¬¼´
£¬¿É¼ûvC=v£®¹ÊBÕýÈ·£»
C£ºÓɶ¯Äܶ¨Àí£¬µÃ£ºWµç+WG=¡÷Ek=0£¬¼´£º
£¬¶ø
ËùÒÔ£º
£¬¹ÊC´íÎó£»
D£ºÓÉmg=qEµÃ
£¬´úÈë
£¬µÃ
£®¹ÊD´íÎó£®
¹ÊÑ¡£ºAB
µãÆÀ£º¸ÃÌâÖиù¾ÝÀàÆ½Å×Ô˶¯µÄÌØµãÀ´Åж¨Á£×ÓÊÇ·ñÔڵ糡ÖÐ×öÀàÆ½Å×Ô˶¯ÊǽâÌâµÄ¹Ø¼ü£¬¶¯Äܶ¨ÀíÅж¨Á£×Ó´ïµ½CµãÊǵÄËÙ¶È£¬ºÍMNÖ®¼äµÄµçÊÆ²îÏà¶Ô±È½Ï¼òµ¥£®ÊôÓÚ»ù´¡ÌâÄ¿£®
½â´ð£º½â£ºA£ºÒòµç³¡Á¦ºÍÖØÁ¦¾ùΪºãÁ¦£¬ÆäºÏÁ¦ÒàΪºãÁ¦£¬ÇÒÓëvÓÐÒ»¶¨¼Ð½Ç£¬¹Ê΢Á£×öÔȱäËÙÇúÏßÔ˶¯--¼´Å×ÎïÏßÔ˶¯£¬ËùÒÔAÕýÈ·£»
B£ºÒòAB=BC£¬¼´
C£ºÓɶ¯Äܶ¨Àí£¬µÃ£ºWµç+WG=¡÷Ek=0£¬¼´£º
D£ºÓÉmg=qEµÃ
¹ÊÑ¡£ºAB
µãÆÀ£º¸ÃÌâÖиù¾ÝÀàÆ½Å×Ô˶¯µÄÌØµãÀ´Åж¨Á£×ÓÊÇ·ñÔڵ糡ÖÐ×öÀàÆ½Å×Ô˶¯ÊǽâÌâµÄ¹Ø¼ü£¬¶¯Äܶ¨ÀíÅж¨Á£×Ó´ïµ½CµãÊǵÄËÙ¶È£¬ºÍMNÖ®¼äµÄµçÊÆ²îÏà¶Ô±È½Ï¼òµ¥£®ÊôÓÚ»ù´¡ÌâÄ¿£®
Á·Ï°²áϵÁдð°¸
Ïà¹ØÌâÄ¿
| A¡¢Î¢Á£Ôڵ糡ÖÐ×öÅ×ÎïÏßÔ˶¯ | ||
| B¡¢Î¢Á£´òµ½CµãʱµÄËÙÂÊÓëÉäÈëµç³¡Ê±µÄËÙÂÊÏàµÈ | ||
C¡¢MN°å¼äµÄµçÊÆ²îΪ2m
| ||
D¡¢MN°å¼äµÄµçÊÆ²îΪE
|