题目内容
作变速直线运动的物体,若前一半时间的平均速度为8m/s,后一半时间的平均速度是16m/s,则全程的平均速度是( )A.14 m/s
B.10 m/s
C.11 m/s
D.12 m/s
【答案】分析:分别求出前一半时间和后一半时间内的位移,根据平均速度的定义式求出全程的平均速度.
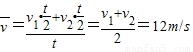
解答:解:全程的平均速度
.故D正确,A、B、C错误.
故选D.
点评:解决本题的关键掌握平均速度的定义式,
.
解答:解:全程的平均速度
故选D.
点评:解决本题的关键掌握平均速度的定义式,
练习册系列答案
相关题目
对于作变速直线运动的物体,下列说法中正确的是( )
| A、若加速度减小,物体将做减速运动 | B、若加速度增大,物体的速度也可能要减小的 | C、若加速度方向和速度方向相反,物体的速度都是减小的 | D、因为物体作匀变速直线运动,所以它的加速度是均匀变化的 |