题目内容
为了实现登月计划,先要测算地月之间的距离.已知地球表面重力加速度为g,地球半径为R,在地面附近物体受到地球的万有引力近似等于物体在地面上的重力,又知月球绕地球运动的周期为T,万有引力常量为G.则:(1)地球的质量为多少?
(2)地月之间的距离为多少?(用已知量表示)
【答案】分析:根据在地面附近物体受到地球的万有引力近似等于物体在地面上的重力,列出等式求出地球的质量.
研究月球绕地球运动,根据万有引力提供向心力,列出等式求出轨道半径也就是地月之间的距离.
解答:解:(1)根据在地面附近物体受到地球的万有引力近似等于物体在地面上的重力,列出等式:
=mg,得:M=
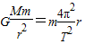
(2)研究月球绕地球运动,根据万有引力提供向心力,列出等式:
由
,得:r=
,
再根据GM=gR2,得r=
答:(1)地球的质量为
,
(2)地月之间的距离为
.
点评:向心力的公式选取要根据题目提供的已知物理量或所求解的物理量选取应用.
运用黄金代换式GM=gR2求出问题是考试中常见的方法.
研究月球绕地球运动,根据万有引力提供向心力,列出等式求出轨道半径也就是地月之间的距离.
解答:解:(1)根据在地面附近物体受到地球的万有引力近似等于物体在地面上的重力,列出等式:
(2)研究月球绕地球运动,根据万有引力提供向心力,列出等式:
由
再根据GM=gR2,得r=
答:(1)地球的质量为
(2)地月之间的距离为
点评:向心力的公式选取要根据题目提供的已知物理量或所求解的物理量选取应用.
运用黄金代换式GM=gR2求出问题是考试中常见的方法.
练习册系列答案
相关题目