题目内容
A.重力做功2mgR
B.小球机械能守恒
C.合外力做功mgR
D.克服摩擦力做功
【答案】分析:重力做功只跟高度差有关,只有重力或弹簧弹力做功时,机械能守恒,根据动能定理求解合外力做的功及摩擦力做的功.
解答:解:A、重力做功WG=mg(2R-R)=mgR,故A错误;
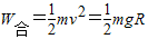
B、小球沿轨道到达最高点B时恰好对轨道没有压力,则有
mg=m
解得:v=
根据动能定理得:

合外力做的功不等于重力做的功,所以机械能不守恒,故BC错误;
D、
所以
所以克服摩擦力做功为
,故D正确.
故选D
点评:本题解题的突破口是小球沿轨道到达最高点B时恰好对轨道没有压力,重力提供向心力,求出速度,难度适中.
解答:解:A、重力做功WG=mg(2R-R)=mgR,故A错误;
B、小球沿轨道到达最高点B时恰好对轨道没有压力,则有
mg=m
解得:v=
根据动能定理得:
合外力做的功不等于重力做的功,所以机械能不守恒,故BC错误;
D、
所以
所以克服摩擦力做功为
故选D
点评:本题解题的突破口是小球沿轨道到达最高点B时恰好对轨道没有压力,重力提供向心力,求出速度,难度适中.
练习册系列答案
相关题目