题目内容
一辆电车从静止开始,做匀加速直线运动,加速度大小是2m/s2.求:(1)4s末的速度大小为多少?
(2)它的速度为10m/s时行驶的路程为多少?
【答案】分析:已知物体做初速度为0的匀加速直线运动,根据匀变速直线运动的规律,求初速度、加速度、时间和位移和末速度的关系.
解答:解:已知电车做初速度为0的匀加速直线运动,a=2m/s2,求4s末的速度和经过多少位移速度达到10m/s.
(1)因为电车做初速度为0的匀加速直线运动,根据速度时间关系v=v+at得,电车4s末的速度
v=at=2×4m/s=8m/s.
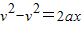
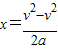
(2)根据匀变速直线运动的速度位移关系
得电车经过的位移为:
=
.
因为电车做初速度为0的匀加速直线运动,故路程等于位移的大小25m.
答:4s末物体的速度为8m/s,它的速度为10m/s时行驶的路程为25m.
点评:熟练掌握匀变速直线运动的速度时间关系、位移速度关系是解决本题的关键.
解答:解:已知电车做初速度为0的匀加速直线运动,a=2m/s2,求4s末的速度和经过多少位移速度达到10m/s.
(1)因为电车做初速度为0的匀加速直线运动,根据速度时间关系v=v+at得,电车4s末的速度
v=at=2×4m/s=8m/s.
(2)根据匀变速直线运动的速度位移关系
因为电车做初速度为0的匀加速直线运动,故路程等于位移的大小25m.
答:4s末物体的速度为8m/s,它的速度为10m/s时行驶的路程为25m.
点评:熟练掌握匀变速直线运动的速度时间关系、位移速度关系是解决本题的关键.
练习册系列答案
相关题目