题目内容

(10分)已知地球自转周期T,地球半径为R,地球表面重力加速度为g,请使用上述已知量导出地球同步卫星距离地面的高度h的表达式,并说明同步卫星的轨道特点,运转方向。

 

【答案】

;同步卫星的轨道在赤道面上;同步卫星的运转方向和地球自转方向相同.

【解析】

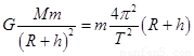
试题分析:根据万有引力提供向心力及在地球表面万有引力等于重力, 设地球质量为M,卫星质量为m,地球同步卫星到地面的高度为h,地球同步卫星运转周期等于地球自转的周期,根据同步卫星所受万有引力提供向心力得

在地球表面上引力等于重力:

以上两式联立解得:地球同步卫星离地面的高度

由于同步卫星的周期必须与地球自转周期相同,所以T为一定值,根据上面等式可知:同步卫星离地面的高度h也为一定值.它若在除赤道所在平面外的任意点,假设实现了“同步”,那它的运动轨道所在平面与受到地球的引力就不在一个平面上,这是不可能的,所以同步卫星必定于赤道上空,其轨道必在赤道面上,运转方向和地球自转方向相同.

考点:本题考查万有引力定律及其应用、人造卫星的加速度、周期和轨道的关系及对同步卫星的理解;

 

练习册系列答案
相关题目

违法和不良信息举报电话:027-86699610 举报邮箱:58377363@163.com

精英家教网