题目内容
如图所示,在光滑的水平面上,有一质量为M=3kg的薄板和质量m=1kg的物块.现给薄板和物块相同的初速度v=4m/s朝相反方向运动,它们之间有摩擦,薄板足够长,求①当薄板的速度为2.4m/s时,物块的速度大小和方向.
②薄板和物块最终停止相对运动时,因摩擦而产生的热量.
【答案】分析:①分析物体的运动情况:初态时,系统的总动量方向水平向左,两个物体开始均做匀减速运动,m的速度先减至零,根据动量守恒定律求出此时M的速度.之后,m向左做匀加速运动,M继续向左做匀减速运动,最后两者一起向左匀速运动.根据动量守恒定律求出薄板的速度大小为2.4m/s时,物块的速度.
②薄板和物块最终停止相对运动时,两者的速度相同,根据动量守恒可求得共同速度.系统的机械能减小转化为内能,由能量守恒定律求得热量.
解答:解:①取向左为正向,当薄板速度为v1=2.4m/s时,由动量守恒定律可得,
(M-m)v=Mv1+mv2,
解得v2=0.8m/s,方向向左
②停止相对运动时,由动量守恒定律得,Mv-mv=(M+m)v′,
解得最终共同速度v′=2m/s,方向向左;
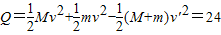
因摩擦而产生的热量
J
答:
①当薄板的速度为2.4m/s时,物块的速度大小为0.8m/s,方向向左.
②薄板和物块最终停止相对运动时,因摩擦而产生的热量为24J.
点评:题考查应用系统的动量守恒定律分析物体运动情况的能力,这是分析物体运动情况的一种方法,用得较少,但要学会,比牛顿定律分析物体运动情况简单.
②薄板和物块最终停止相对运动时,两者的速度相同,根据动量守恒可求得共同速度.系统的机械能减小转化为内能,由能量守恒定律求得热量.
解答:解:①取向左为正向,当薄板速度为v1=2.4m/s时,由动量守恒定律可得,
(M-m)v=Mv1+mv2,
解得v2=0.8m/s,方向向左
②停止相对运动时,由动量守恒定律得,Mv-mv=(M+m)v′,
解得最终共同速度v′=2m/s,方向向左;
因摩擦而产生的热量
答:
①当薄板的速度为2.4m/s时,物块的速度大小为0.8m/s,方向向左.
②薄板和物块最终停止相对运动时,因摩擦而产生的热量为24J.
点评:题考查应用系统的动量守恒定律分析物体运动情况的能力,这是分析物体运动情况的一种方法,用得较少,但要学会,比牛顿定律分析物体运动情况简单.
练习册系列答案
相关题目