ÌâÄ¿ÄÚÈÝ

ÈçͼËùʾ£¬µçÈÝÆ÷¹Ì¶¨ÔÚÒ»¸ö¾øÔµ×ùÉÏ£¬¾øÔµ×ù·ÅÔÚ¹â»¬Ë®Æ½ÃæÉÏ£¬Æ½ÐаåµçÈÝÆ÷°å¼äµÄ¾àÀëΪd£¬ÓÒ¼«°åÉÏÓÐһС¿×£¬Í¨¹ý¿×ÓÐÒ»×ó¶Ë¹Ì¶¨ÔÚµçÈÝÆ÷×󼫰åÉϵÄˮƽ¾øÔµ¹â»¬Ï¸¸Ë£¬µçÈÝÆ÷¼«°åÒÔ¼°µ××ù¡¢¾øÔµ¸Ë×ÜÖÊÁ¿ÎªM£¬¸øµçÈÝÆ÷³äµçºó£¬ÓÐÒ»ÖÊÁ¿ÎªmµÄ´øÕýµçС»·Ç¡Ì×ÔÚ¸ËÉÏÒÔijһ³õËÙ¶Èv0¶Ô׼С¿×Ïò×óÔ˶¯£¬²¢´ÓС¿×½øÈëµçÈÝÆ÷£¬Éè´øµç»·²»Ó°ÏìµçÈÝÆ÷°å¼äµç³¡·Ö²¼£®´øµç»·½øÈëµçÈÝÆ÷ºó¾à×ó°åµÄ×îС¾àÀëΪ0.5 d£¬ÊÔÇó£º

(1)´øµç»·Óë×󼫰åÏà¾à×î½üʱµÄËÙ¶Èv£»

(2)´Ë¹ý³ÌÖеçÈÝÆ÷ÒÆ¶¯µÄ¾àÀës£®

´ð°¸£º
½âÎö£º

¡¡¡¡´ð°¸£º(1)´øµç»·½øÈëµçÈÝÆ÷ºóÔڵ糡Á¦µÄ×÷ÓÃÏÂ×ö³õËÙ¶ÈΪv0µÄÔȼõËÙÖ±ÏßÔ˶¯£¬¶øµçÈÝÆ÷ÔòÔڵ糡Á¦µÄ×÷ÓÃÏÂ×öÔȼÓËÙÖ±ÏßÔ˶¯£¬µ±ËüÃǵÄËÙ¶ÈÏàµÈʱ£¬´øµç»·ÓëµçÈÝÆ÷µÄ×󼫰åÏà¾à×î½ü£¬ÓÉϵͳ¶¯Á¿Êغ㶨Âɿɵãº

¡¡¡¡¶¯Á¿¹Ûµã£º¡¡

¡¡¡¡Á¦ÓëÔ˶¯¹Ûµã£º

¡¡¡¡Éèµç³¡Á¦ÎªF

¡¡¡¡

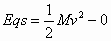
¡¡¡¡(2)ÄÜÁ¿¹Ûµã(ÔÚµÚ(1)ÎÊ»ù´¡ÉÏ)£º

¡¡¡¡¶Ôm£º

¡¡¡¡¶ÔM£º

¡¡¡¡

¡¡¡¡ËùÒÔ

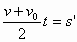
¡¡¡¡Ô˶¯Ñ§¹Ûµã£º

¡¡¡¡¶ÔM£º£¬¶Ôm£º

¡¡¡¡£¬½âµÃ£º

¡¡¡¡´øµç»·ÓëµçÈÝÆ÷µÄËÙ¶ÈͼÏñÈçͼËùʾ£®ÓÉÈý½ÇÐÎÃæ»ý¿ÉµÃ£º

¡¡¡¡

¡¡¡¡½âµÃ£º


Á·Ï°²áϵÁдð°¸
Ïà¹ØÌâÄ¿

Î¥·¨ºÍ²»Á¼ÐÅÏ¢¾Ù±¨µç»°£º027-86699610 ¾Ù±¨ÓÊÏ䣺58377363@163.com

¾«Ó¢¼Ò½ÌÍø