题目内容
不回收的航天器在使用后,将成为太空垃圾.如图所示是飘浮在地球附近的太空垃圾示意图,下列说法中正确的是( )
![]()
A.离地越高的太空垃圾运行速率越大
B.离地越高的太空垃圾运行角速度越小
C.离地越低的太空垃圾运行周期越大
D.太空垃圾只可能跟同一轨道上的航天器相撞
【答案】
B
【解析】
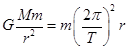
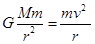
试题分析:设地球质量为M,垃圾质量为m,垃圾的轨道半径为r,由牛顿第二定律可得:
,垃圾运行的线速度
,因G、M是常数,所以轨道半径越大,即离地越高的垃圾线速度越小,A错误;由牛顿第二定律可得:
,垃圾运行的角速度
,因G、M是常数,所以轨道半径越大,即离地越高的垃圾线速度越小,B正确;由牛顿第二定律可得:
,垃圾运行的周期
,因G、M是常数,所以轨道半径越小,即离地越低的垃圾运行周期越小,C错误;由线速度公式
可知,在同一轨道上的航天器与太空垃圾线速度相同,如果它们绕地球飞行的运转方向相同,它们不会碰撞,D错误
考点:万有引力定律及其应用
练习册系列答案
相关题目
| A、由于空气阻力存在,太空垃圾运行轨道半径越来越小,运行速率越来越小,最后坠落到地面 | B、太空垃圾一定能跟同一轨道上的航天器相撞 | C、太空垃圾运行速率可能大于7.9km/s | D、离地越高的太空垃圾运行角速度越小 |
不回收的航天器在使用后,将成为太空垃圾.如图所示是飘浮在地球附近的太空垃圾示意图,下列说法中正确的是( )![]()
| A.离地越高的太空垃圾运行速率越大 |
| B.离地越高的太空垃圾运行角速度越小 |
| C.离地越低的太空垃圾运行周期越大 |
| D.太空垃圾只可能跟同一轨道上的航天器相撞 |