题目内容

小球做直线运动时的频闪照片如图所示.已知频闪周期 T=0.1s,小球相邻位置间距(由照片中的刻度尺量得)分别为 OA=6.51cm,AB=5.59cm,BC=4.70cm,CD=3.80cm,DE=2.89cm,EF=2.00cm.小球在位置 A 时速度大小vA=______m/s,小球运动的加速度大小a=______m/s2.(保留三位有效数字)
【答案】分析:频闪照片每隔一定时间拍一个小球的位置,小球A位置时速度近似等于OB间的平均速度.用推论△x=aT2求解加速度.
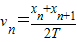
解答:解:设OA=x1,AB=x2,BC=x3,CD=x4,DE=x5,EF=x6
则小球在A位置的速度vA===0.605m/s
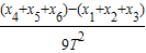
   由x4-x1=3a1T2
     x5-x2=3a2T2
     x6-x3=3a3T2
得到a===-0.901m/s2,则小球运动的加速度大小0.901m/s2
故答案是:0.605m/s,0.901m/s2
点评:频闪照片与打点计时器类型相似,常常根据匀变速运动的推论:由求解速度,由△x=aT2加速度.本题求解用的是逐差法.
练习册系列答案
相关题目

违法和不良信息举报电话:027-86699610 举报邮箱:58377363@163.com

精英家教网