题目内容
某同学在“测定匀变速直线运动的加速度”的实验中,用打点计时器记录了被小车拖动的纸带的运动情况.某次实验纸带的记录如图所示,纸带上O、A、B、C、D、E、F、G为计数点,每相邻两个计数点间还有4个点没有画出,由图可知纸带的加速度等于 m/s2,在打D点时纸带的速度为 (保留两位有效数字),F到G的距离为 cm.
【答案】分析:根据匀变速直线运动的推论公式△x=aT2可以求出加速度和F到G的距离大小,根据匀变速直线运动中时间中点的速度等于该过程中的平均速度,可以求出打纸带上C点时小车的瞬时速度大小.
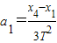
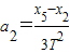
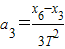
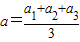
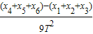
解答:解:根据逐差法有:



=
=0.75m/s2.
根据匀变速直线运动中时间中点的速度等于该过程中的平均速度,得:
.
根据在匀变速直线运动中连续相等时间内的位移差为常数可知:
xEF-xDE=xFG-xEF
带人数据解得:xFG=5.90cm
故答案为:0.75,0.40,5.90.
点评:本题借助实验考查了匀变速直线的规律以及推论的应用,在平时练习中要加强基础知识的理解与应用,提高解决问题能力.
解答:解:根据逐差法有:
根据匀变速直线运动中时间中点的速度等于该过程中的平均速度,得:
根据在匀变速直线运动中连续相等时间内的位移差为常数可知:
xEF-xDE=xFG-xEF
带人数据解得:xFG=5.90cm
故答案为:0.75,0.40,5.90.
点评:本题借助实验考查了匀变速直线的规律以及推论的应用,在平时练习中要加强基础知识的理解与应用,提高解决问题能力.
练习册系列答案
相关题目