题目内容
如图所示,A、B两球用长1m的绳子相连,用手拿着A球时,B球距地h,释放A后不计空气阻力,两球落地时间差△t=0.2s,g取10m/s2,则h为多大?
【答案】分析:B球着地时,A、B两球具有相同的速度,设此时的速度为v,根据匀变速直线运动的位移公式
求出初速度v,然后根据速度位移公式
,求出B球距地的高度.
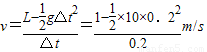
解答:解:B球着地后,A球做匀加速运动到地面,时间为△t=0.2s.
根据匀变速直线运动的位移公式
,得
=4m/s.
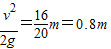
根据速度位移公式
,得h=
.
故B球距离地面的高度为0.8m.
点评:解决本题的关键知道B球着地时,A、B两球具有相同的速度.以及掌握匀变速直线运动的位移时间公式和速度位移公式.
解答:解:B球着地后,A球做匀加速运动到地面,时间为△t=0.2s.
根据匀变速直线运动的位移公式
根据速度位移公式
故B球距离地面的高度为0.8m.
点评:解决本题的关键知道B球着地时,A、B两球具有相同的速度.以及掌握匀变速直线运动的位移时间公式和速度位移公式.
练习册系列答案
相关题目