题目内容
一辆汽车以速度v行驶了A.24 km/h
B.35 km/h
C.36 km/h
D.48 km/h
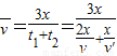
【答案】分析:设全程的位移大小为3x,根据t=
分别求出前后两段运动的时间表达式,再得到全程平均速度的表达式,求出v.
解答:解:设全程的位移大小为3x,由题得到
全程的平均速度
代入解得 v=35km/h
故选B.
点评:本题考查对平均速度的理解和应用能力,常规题,关键抓住平均速度的定义列式.
解答:解:设全程的位移大小为3x,由题得到
全程的平均速度
代入解得 v=35km/h
故选B.
点评:本题考查对平均速度的理解和应用能力,常规题,关键抓住平均速度的定义列式.
练习册系列答案
相关题目
一辆汽车以速度v行驶了2/3的路程,接着以20km/h的速度减速,后以36km/h的速度返回原点,则全程中的平均速度
是( )
. |
| v |
| A、24km/h | B、0 |
| C、36km/h | D、48km/h |