题目内容
为测定气垫导轨上滑块的加速度,滑块上安装了宽度为d=3.0cm的遮光板.滑块在牵引力的作用下先后通过两个光电门,配套的数字毫秒计记录了遮光板通过第一个光电门的时间为△t1=0.29s,通过第二个光电门的时间为△t2=0.11s,遮光板从开始遮住第一个光电门到开始遮住第二个光电门的时间△t=3.57s,求滑块的加速度.
【答案】分析:光电门测量滑块瞬时速度的原理是遮光条通过光电门的速度可以用平均速度代替即v=
,再根据运动学公式即可求出物体的加速度a.
解答:解:根据遮光板通过光电门的速度可以用平均速度代替得:
滑块通过第一个光电门时的速度:
=
m/s
滑块通过第二个光电门时的速度:
=
m/s
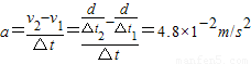
滑块的加速度:
答:滑块的加速度的是4.8×10-2m/s2.
点评:本题应掌握光电门测量滑块瞬时速度的原理,注意计算过程中单位的换算.
解答:解:根据遮光板通过光电门的速度可以用平均速度代替得:
滑块通过第一个光电门时的速度:
滑块通过第二个光电门时的速度:
滑块的加速度:
答:滑块的加速度的是4.8×10-2m/s2.
点评:本题应掌握光电门测量滑块瞬时速度的原理,注意计算过程中单位的换算.
练习册系列答案
相关题目
为测定气垫导轨上滑块的加速度,滑块上安装了宽度为2cm的遮光板.滑块在牵引力的作用下先后通过两个光电门,配套的数字毫秒计录了遮光板通过第一个光电门的时间为△t1=0.29s,通过第二个光电门的时间为△t2=0.11s,遮光板从开始遮住第一个光门到开始遮住第二个光电门的时间为△t=2.57s,则滑块的加速度为( )

| A、0.044 m/s2 | B、0.012 m/s2 | C、0.048m/s2 | D、0.060 m/s2 |